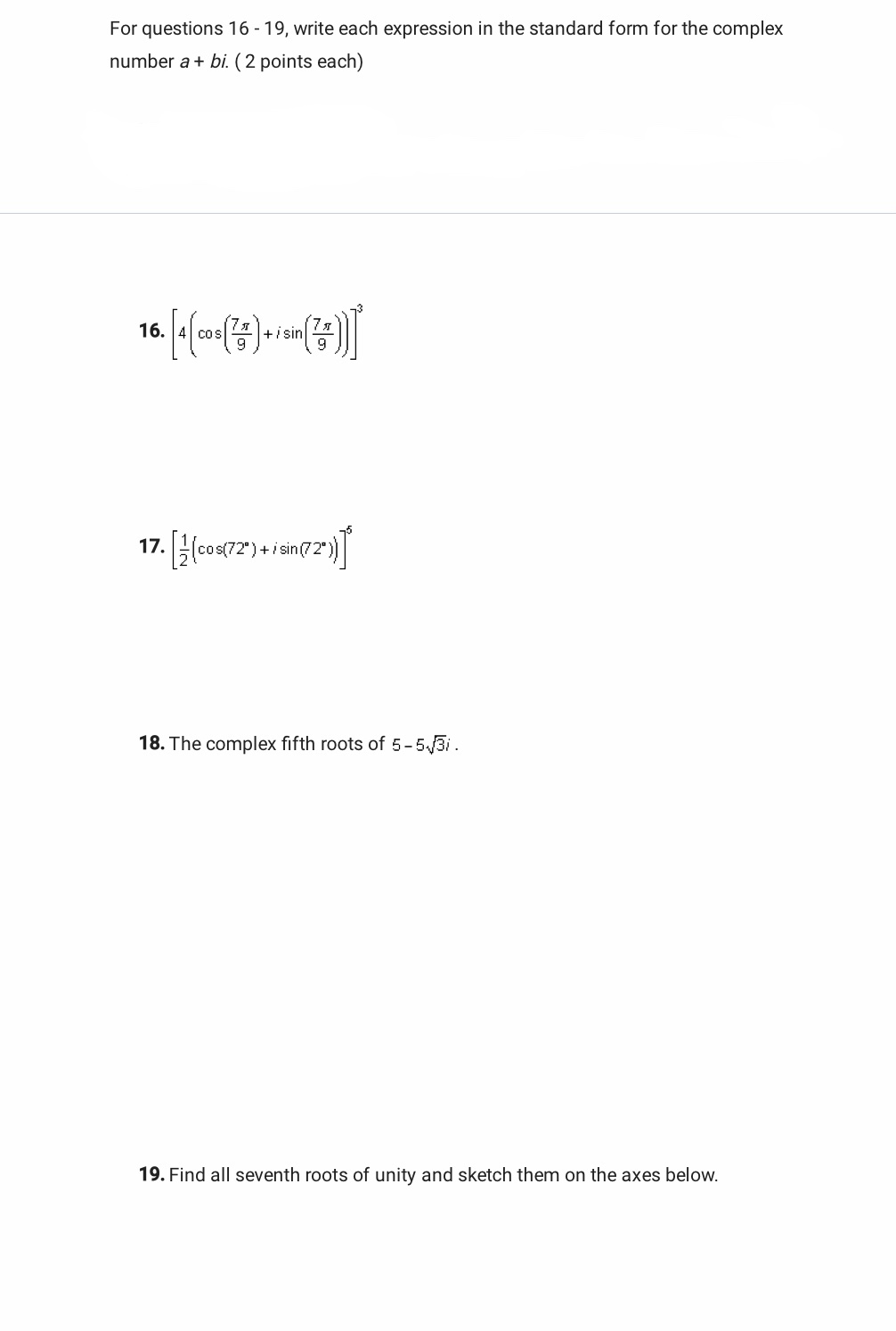
Question: For questions 16 - 19, write each expression in the standard form for the complex number a + bi. ( 2 points each) 16. 4


For questions 16 - 19, write each expression in the standard form for the complex number a + bi. ( 2 points each) 16. 4 [ cos ( ) +isin( 2. ) ] 17. [# (cos(72.) + isin 1725)] 18. The complex fifth roots of 5-5 3i . 19. Find all seventh roots of unity and sketch them on the axes below.
Step by Step Solution
There are 3 Steps involved in it
Get step-by-step solutions from verified subject matter experts
