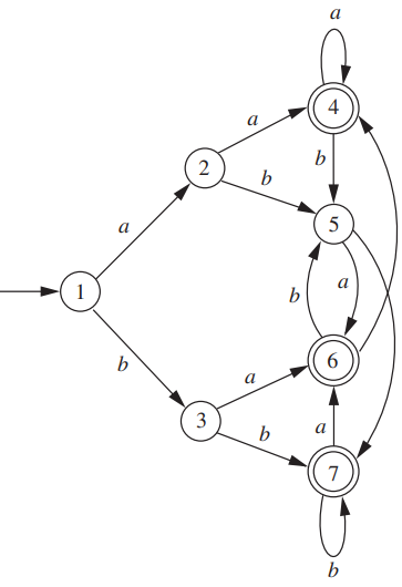
Question: For the figure below, use the table minimization algorithm to find a minimum - state FA recognizing the same language. ( It s possible that
For the figure below, use the table minimization algorithm to find a minimumstate FA recognizing the same language. Its possible that the given FA may already be minimal.
Step by Step Solution
There are 3 Steps involved in it
1 Expert Approved Answer
Step: 1 Unlock
Question Has Been Solved by an Expert!
Get step-by-step solutions from verified subject matter experts
Step: 2 Unlock
Step: 3 Unlock
