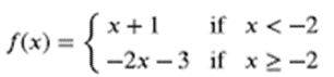
Question: For the following exercise, given the function f , evaluate f(x) = X + x
For the following exercise, given the function f, evaluate


\f(x) = X + x
Step by Step Solution
There are 3 Steps involved in it
1 Expert Approved Answer
Step: 1 Unlock
Question Has Been Solved by an Expert!
Get step-by-step solutions from verified subject matter experts
Step: 2 Unlock
Step: 3 Unlock
