Question: For the following functions simplify using K-Map HOMEWORK 6 1) For the following functions simplify using K-Map f(A, B, C, D) = (A + B'
For the following functions simplify using K-Map

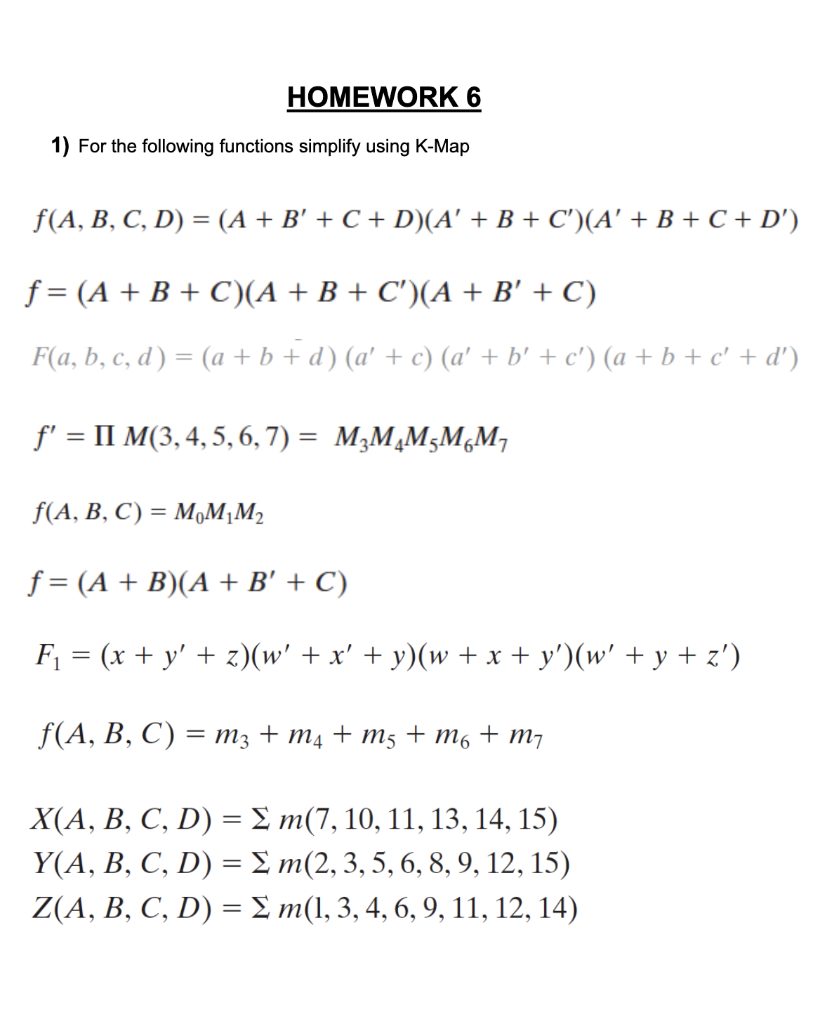
HOMEWORK 6 1) For the following functions simplify using K-Map f(A, B, C, D) = (A + B' + C + D)(A' + B + C')(A' + B + C + D') f= (A + B + C)(A + B + C')(A + B' + C) F(a, b, c, d ) = (a + b + d) (a' + c) (a' + b' + c') (a + b + c' + d') f' = II M(3, 4, 5, 6, 7) = MzM4M5MM, f(A, B, C) = M,M1M2 f= (A + B)(A + B' + C) F1 = (x + y' + z)(w' + x' + y)(w + x + y')(w' + y + z') f(A, B, C) = mz + m4 + ms + mo + my X(A, B, C, D) = m(7, 10, 11, 13, 14, 15) Y(A, B, C, D) = m(2, 3, 5, 6, 8, 9, 12, 15) Z(A, B, C, D) = m(1, 3, 4, 6, 9, 11, 12, 14)
Step by Step Solution
There are 3 Steps involved in it
Get step-by-step solutions from verified subject matter experts
