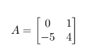
Question: For the following matrices A, find their eigenvectors and eigenvalues. Also calculate eat.ff= 1 0




For the following matrices A, find their eigenvectors and eigenvalues. Also calculate eat.\f\f= 1 0
Step by Step Solution
There are 3 Steps involved in it
Get step-by-step solutions from verified subject matter experts
