Question: For the function given below, find a formula for the Riemann sum obtained by dividing the interval [0,2] into n equal subintervals and using the

![sum obtained by dividing the interval [0,2] into n equal subintervals and](https://s3.amazonaws.com/si.experts.images/answers/2024/06/66659b9502979_99666659b94e0a3e.jpg)


![curve over [0,2]. f ( x ) = x- +5 Write a](https://s3.amazonaws.com/si.experts.images/answers/2024/06/66659b962fb35_99766659b960272f.jpg)

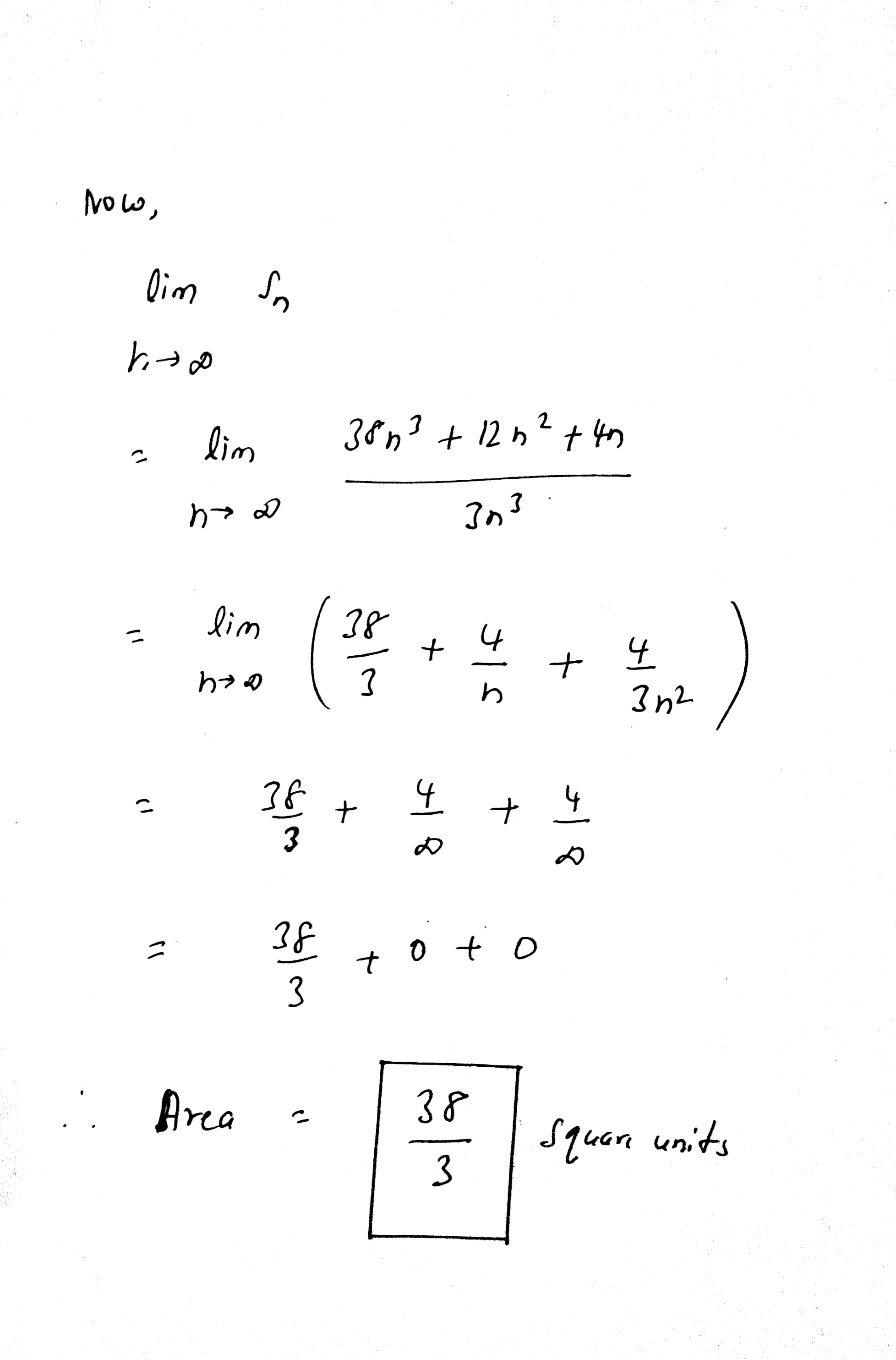
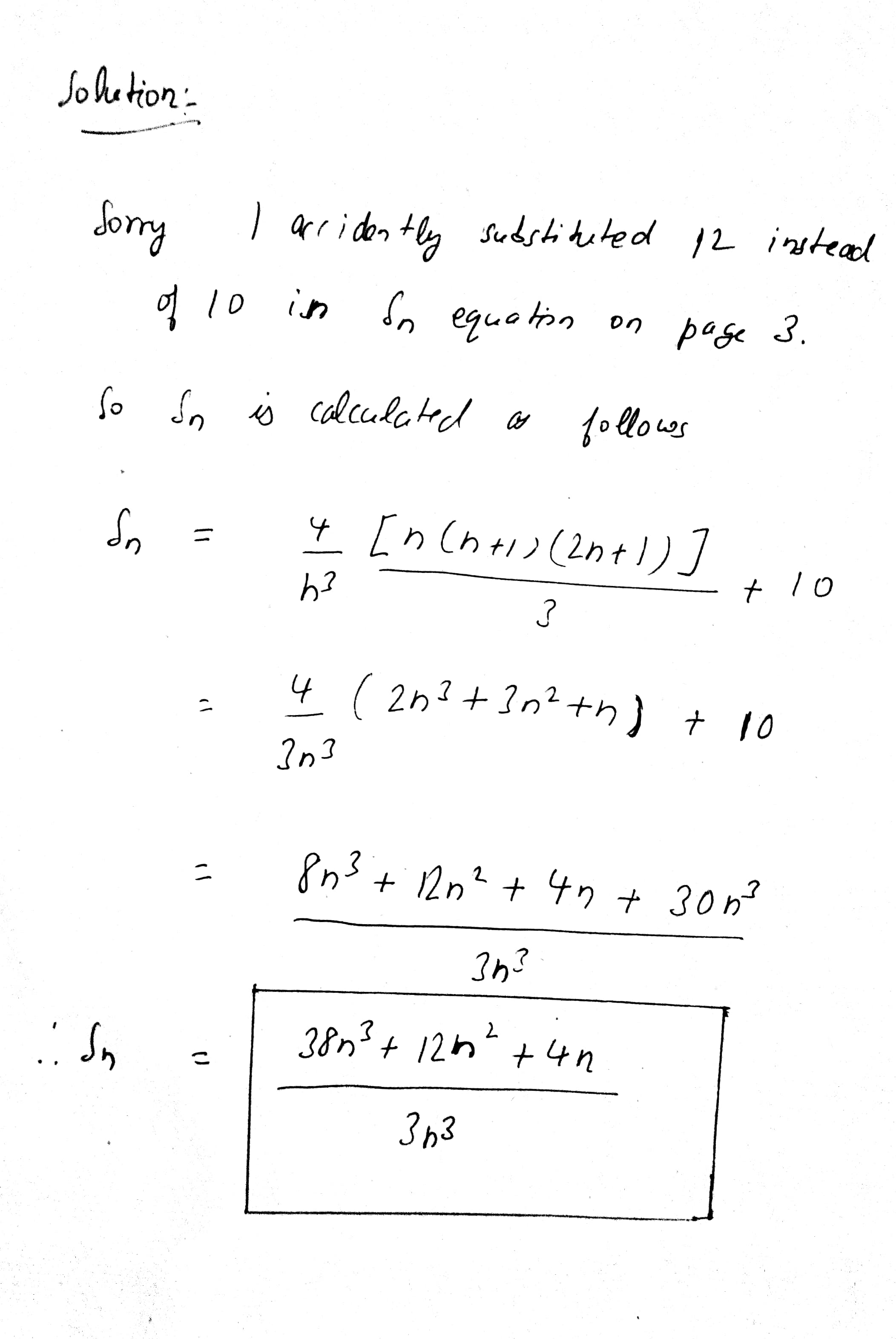
For the function given below, find a formula for the Riemann sum obtained by dividing the interval [0,2] into n equal subintervals and using the right-hand endpoint for each ck. Then take a limit of this sum as n - co to calculate the area under the curve over [0,2]. f ( x ) = x- +5 Write a formula for a Riemann sum for the function f(x) = x-+ 5 over the interval [0,2]- S, =(Type an expression using n as the variable.)Solution: sorry I aridently substituted 12 instead of 10 in In equation on page 3. So Sy is calculated a follows = 4 In (nti) ( 2 n+ 1 ) ] + 10 4 ( 2 n 3 + 3 n 2 th ) + 10 8n3 + 12n2+ 40 + 30n 38n3 + 12 52 + 4n 3 h3
Step by Step Solution
There are 3 Steps involved in it
Get step-by-step solutions from verified subject matter experts
