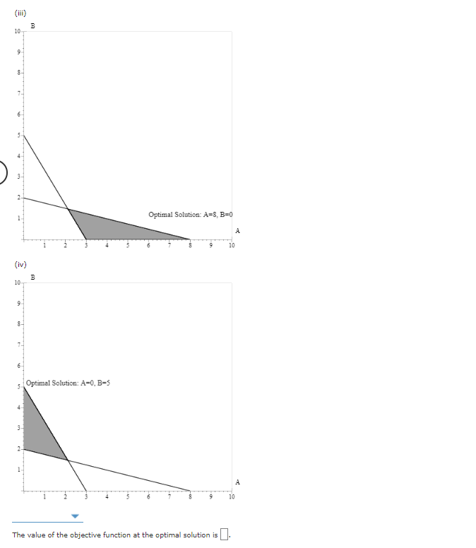
Question: For the linear program Max 6 A + 6 B s.t. A + 4 B 8 10 A + 6 B 30 A , B
For the linear program
| Max | 6 A | + | 6 B | ||
| s.t. | |||||
| A | + | 4B | 8 | ||
| 10A | + | 6B | 30 | ||
| A, B 0 | |||||
select the correct graph that identifies the optimal solution. What is the value of the objective function at the optimal solution

Step by Step Solution
There are 3 Steps involved in it
Get step-by-step solutions from verified subject matter experts
