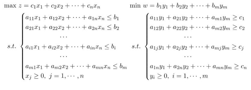
Question: For the normal max problem, its dual is the normal min problem. What is the complementary slackness? Please write the equations and then prove them.
For the normal max problem, its dual is the normal min problem. What is the complementary slackness? Please write the equations and then prove them.

Step by Step Solution
There are 3 Steps involved in it
Get step-by-step solutions from verified subject matter experts
