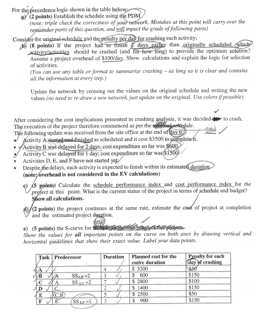
Question: For the precedence logic shown in the table below ay (2 points) Establish the schedule using the PDM (note: triple check the correctness of your

For the precedence logic shown in the table below ay (2 points) Establish the schedule using the PDM (note: triple check the correctness of your network. Mistakes at this point will carry over the remainder parts of this question, and will impact the grade of following parts) Consider the original schedule and the penalty per day for crashing each activity, b) (8 points) If the project had to finish days earlier than originally scheduled, which activity activities should be crashed (and for how long) to provide the optimum solution? Assume a project overhead of $100/day. Show calculations and explain the logic for selection of activities. (You can use any table or format to summarize crashing - as long as it is clear and contains all the information at every step.) Update the network by crossing out the values on the original schedule and writing the new values (no need to re-draw a new network just update on the original. Use colors if possible) After considering the cost implications presented in crashing analysis, it was decided to crash The execution of the project therefore commenced as per the fule. The following update was received from the site office at the end of day62 Activity Astarted and finished as scheduled and it cost S3500 to complete it. Activity B was delayed for 2 days, cost expenditure so far was $600 Activity C was delayed for 1 day, cost expenditure so far was $1509 Activities D, E, and Fhave not started yet Despite the delays, each activity is expected to finish within its estimate duration (note: overhead is not considered in the EV calculations) c) 5 points) Calculate the schedule performance index and cost performance index_for the V project at this point. What is the current status of the project in terms of schedule and budget? Show all calculations. d)/(2 points) the project continues at the same rate, estimate the cost of project at completion V and the estimated project duration sep e) (5 points) the S-curve for horses the posje Show the values for all important points on the curve on both axes by drawing vertical and horizontal guidelines that show their exact value. Label your data points. Task Predecessor Duration Planned cost for the entire duration 4 $ 3200 B MASSA23 S 600 ACVASSAC 275 2800 2 V S 1400 EXCB 15 / $ 2500 FE SSD3 VS 900 Penalty for each (day of crashing $58 $150 $100 S150 $50 ISISO For the precedence logic shown in the table below ay (2 points) Establish the schedule using the PDM (note: triple check the correctness of your network. Mistakes at this point will carry over the remainder parts of this question, and will impact the grade of following parts) Consider the original schedule and the penalty per day for crashing each activity, b) (8 points) If the project had to finish days earlier than originally scheduled, which activity activities should be crashed (and for how long) to provide the optimum solution? Assume a project overhead of $100/day. Show calculations and explain the logic for selection of activities. (You can use any table or format to summarize crashing - as long as it is clear and contains all the information at every step.) Update the network by crossing out the values on the original schedule and writing the new values (no need to re-draw a new network just update on the original. Use colors if possible) After considering the cost implications presented in crashing analysis, it was decided to crash The execution of the project therefore commenced as per the fule. The following update was received from the site office at the end of day62 Activity Astarted and finished as scheduled and it cost S3500 to complete it. Activity B was delayed for 2 days, cost expenditure so far was $600 Activity C was delayed for 1 day, cost expenditure so far was $1509 Activities D, E, and Fhave not started yet Despite the delays, each activity is expected to finish within its estimate duration (note: overhead is not considered in the EV calculations) c) 5 points) Calculate the schedule performance index and cost performance index_for the V project at this point. What is the current status of the project in terms of schedule and budget? Show all calculations. d)/(2 points) the project continues at the same rate, estimate the cost of project at completion V and the estimated project duration sep e) (5 points) the S-curve for horses the posje Show the values for all important points on the curve on both axes by drawing vertical and horizontal guidelines that show their exact value. Label your data points. Task Predecessor Duration Planned cost for the entire duration 4 $ 3200 B MASSA23 S 600 ACVASSAC 275 2800 2 V S 1400 EXCB 15 / $ 2500 FE SSD3 VS 900 Penalty for each (day of crashing $58 $150 $100 S150 $50 ISISO