Question: For this activity, complete the following: Examine the Database MiniPONS.csv dataset from https://www.kaggle.com/datasets/mercheovejero/theory-of-mind-in-remitted-bipolar-disorder ANCOVA can be performed when each of the within-group trends have the
For this activity, complete the following:
Examine the "Database MiniPONS.csv" dataset from https://www.kaggle.com/datasets/mercheovejero/theory-of-mind-in-remitted-bipolar-disorderANCOVA can be performed when each of thewithin-grouptrends have the same slope, are parallel to one another, and are parallel to the overall trend. Make this determination with respect to your data (i.e., the MiniPONS dataset) and state the results.
ANCOVA cannot be performed when the resulting adjustments must be extrapolated from a linear relationship outside the measured range of the covariate. complete the following.
State the null hypotheses using formal mathematical notation and explain what is meant by "groups" and "pooled population" in the model.
- Factor A - The main treatment effect: a) The adjusted population group means are all equal. b) The effect of each group equals zero.
- Factor B - The covariate effect: a) The pooled population slope equals zero.
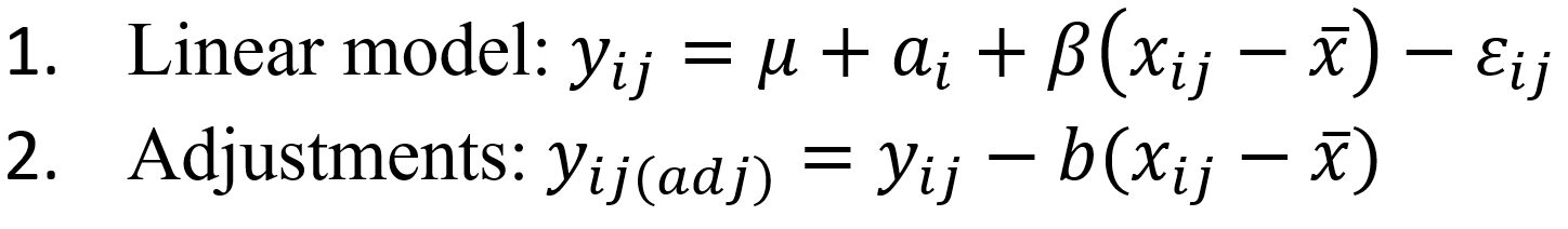
The covariates are used to adjust the response values. Describe the ANCOVA design (linear model) you chose and explain the adjustments you made. For example, if your linear model includes a single categorical and a single covariate, then you would have the following equations as seen in the " Equation Image."

Step by Step Solution
There are 3 Steps involved in it
Get step-by-step solutions from verified subject matter experts
