Question: For this transactions i need help with everything. I am attaching extra images in case you need it to answer the questions. If you dont
For this transactions i need help with everything. I am attaching extra images in case you need it to answer the questions. If you dont need those images then disregard it. Also please include which journal you recorded it in on top also place the entities and also please include Same thing To record supplies on account. And also i need help with general ledger and Subsidiary Ledger as well for this transaction. Everything is in order. Please Write clean so i can see. And please give me correct answers with step by step and not the wrong answers.
Thank you so much
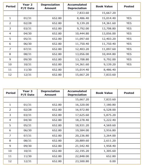
- Ian felt the need for a better air ventilation/dust collection system. He went over to Rocker Woodcraft to purchase a system, taking Check No. 2265 with him. He brought back the dust collection system and the invoice from Rocker Woodcraft (Form 15). He wrote the check in the amount of $750.00 as partial payment, with the remaining to be billed to Basswood Furniture on account. The dust collection system is an asset. Its useful life will be three years, with a residual value (salvage value) of zero. Record the journal entry for the invoice in the correct G/L accounts and make a new subsidiary ledger account for Rocker Woodcraft. make a Schedule of Depreciation for the asset, assuming straight-line depreciation. (The purchase of the system is being made on the eighth of the month. According to GAAP, because the purchase is made before the fifteenth of the month, the depreciation of the asset can be recognized from the beginning of the month. Therefore, for depreciation purposes, at the end of the accounting period, you'll recognize one month's worth of depreciation for December as if the asset was purchased on the first of the month.) At the end of the accounting period, you'll provide Jeremy Gates with the asset information and schedule so that he can review it and make any changes if necessary.





General Ledger
Subsidiary Ledger








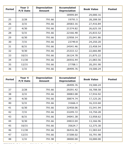
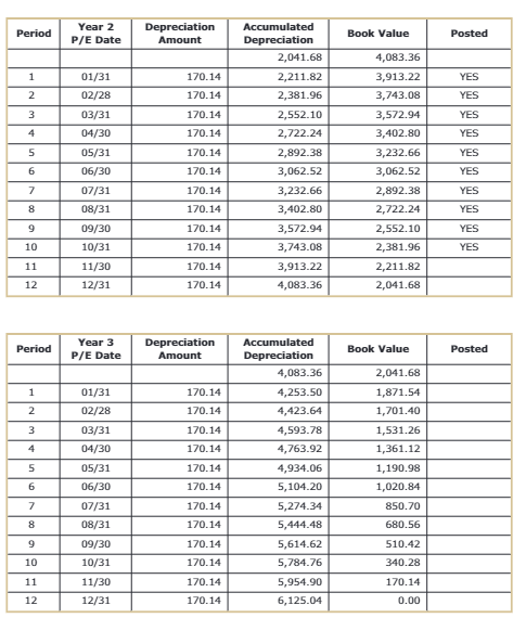
NO. 2265 Basswood Furniture NO. 2265 20-104 740 DATE 20 TO 124 River St. Hemlock, PA 18951 20 FOR | PAY TO THE I ORDER OF . . DOLLARS CENTS Dollars BAL. BROT FOR'D For use in practice set AMT. DEPOSITED TOTAL HFCU Hemlock Federal Credit Union Hemlock, PA 18951-1463 by AMT. THIS CHECK BAL. CAR'D FORD .: 0660043727: 20 309921 FORM 15 Rocker Woodcraft Sold To Basswood Furniture 124 River St. Hemlock, PA Date December 8, 20XX Our Order No. 21149 Invoice No. 96177 Terms 2/10, N30 Salesperson Ron Shipped By Customer Your Order No. 1225 641 Oak St. Hemlock, PA 18955 QUANTITY DESCRIPTION PRODUCT NO. UNIT PRICE TOTAL 1 $2299.00 $2299.00 Air Ventilation/Dust Collection System DC-632 Tax Total Check #2655 137.94 $2436.94 (750.00) Balance Due $1686.94 PAGE CASH PAYMENTS JOURNAL GENERAL IDEUM POWT. PAYALE ACCOUNT DEGED (CHADETED). DR CAH DATE NO DR. 5 10 1- 11 11 12 12 13 19 14 14 10 1. 16 16 17 17 CASH RECEIPTS JOURNAL PAGE WOODENA POST. RECHTYABLE WU PAVASUS OK DATE BALES R CAIBOORT ANDORRE OL ACOXUNTOS CASH DR. 1- SEA 11 13 19 14 14 1. 16 13 HABER GENERAL TOURNAL FAGE DU 10 10 11 11 12 13 14 14 1. 16 1 17 16 19 1 20 24 LOOYUNI ASTOUNTNO DUJE TTEM POST. MF. CREDIT ALUE CREDIT CE.IT NAYE ACCOUNT NO. DAJE ITEM POST. REF CET PRET ALME ET RENT Type text here Schedules of Equipment Depreciation Items: (Initial Investment) Table saw Compound miter saw Band saw Scroll saw Router table Drill press Lathe Planer Dust collection system Work benches Invoice itemized misc equipment Purchase Date: 01/01/20XX Purchase Price: $23,500.80 Method of Depr.: Straight-Line # of Years: 3 Salvage Value: $0.00 Depr. Per Period: $652.80 Period Year 1 P/E Date Depreciation Amount Accumulated Depreciation Book Value Posted 1 652.80 652.80 YES 2 652.80 YES 3 652.80 YES 4 652.80 YES 5 YES 652.80 652.80 6 01/31 02/28 03/31 04/30 05/31 06/30 07/31 08/31 09/30 10/31 11/30 12/31 YES 23,500.80 22,848.00 22,195.20 21,542.40 20,889.60 20,236.80 19,584.00 18,931.20 18,278.40 17,625.60 16,972.80 16,320.00 15,667.20 7 1,305.60 1,958.40 2,611.20 3,264.00 3,916.80 4,569.60 5,222.40 5,875.20 6,528.00 7,180.80 7,833.60 652.80 YES 8 652.80 YES 9 652.80 YES 10 YES 11 652.80 652.80 652.80 YES 12 YES Period Year 2 P/E Date Depreciation Amount Book Value Posted 1 YES 2 652.80 652.80 652.80 YES 3 YES YES 4 5 6 01/31 02/28 03/31 04/30 05/31 06/30 07/31 08/31 09/30 10/31 652.80 652.80 652.80 YES Accumulated Depreciation 7,833.60 8,486.40 9,139.20 9,792.00 10,444.80 11,097.60 11,750.40 12,403.20 13,056.00 13,708.80 14,361.60 15,014.40 15,667.20 15,667.20 15,014.40 14,361.60 13,708.80 13,056.00 12,403.20 11,750.40 11,097.60 10,444.80 9,792.00 9,139.20 8,486.40 7,833.60 YES 7 YES 8 652.80 652.80 652.80 YES 9 YES YES 10 652.80 652.80 11 11/30 12/31 12 652.80 Period Year 3 P/E Date Depreciation Amount Book Value Posted 1 7,833.60 7,180.80 6,528.00 5,875.20 652.80 652.80 652.80 2 3 01/31 02/28 03/31 04/30 05/31 06/30 4 652.80 5 652.80 652.80 Accumulated Depreciation 15,667.20 16,320.00 16,972.80 17,625.60 18,278.40 18,931.20 19,584.00 20,236.80 20,889.60 21,542.40 22,195.20 22,848.00 23,500.80 6 7 652.80 5,222.40 4,569.60 3,916.80 3,264.00 2,611.20 1,958.40 1,305.60 8 652.80 652.80 07/31 08/31 09/30 10/31 11/30 12/31 9 10 652.80 652.80 652.80 11 12 652.80 0.00 Schedules of Vehicle Depreciation Make: Ford Model: Econoline Van Year: 20xx Purchase Date: 02/01/20XX Purchase Price: $48,000 Method of Depr.: Straight-Line # of Years: 4 Salvage Value: $10,000 Depr. Per Period: $791.66 Period Year 1 P/E Date Depreciation Amount Accumulated Depreciation Book Value Posted 1 791.66 791.66 YES YES 2 791.66 1583.32 3 YES 4 791.66 791.66 791.66 2374.98 3166.64 3958.3 YES YES 5 2/28 3/31 4/30 5/31 6/30 7/31 8/31 9/30 10/31 11/30 6 4749.96 48,000.00 47,208.34 46,416.68 45,625.02 44,833.36 44,041.70 43,250.04 42,458.38 41,666.72 40,875.06 40,083.40 39,291.74 38,500.08 YES 791.66 791.66 791.66 7 5541.62 YES 8 6333.28 YES 9 YES 791.66 791.66 7124.94 7916.6 10 YES YES 11 12 12/31 1/31 791.66 791.66 8708.26 9499.92 YES Period Year 2 P/E Date Depreciation Amount Book Value Posted 38,500.08 Accumulated Depreciation 9499.92 10291.58 11083.24 11874.9 YES 14 791.66 791.66 791.66 YES 15 YES 16 791.66 12666.56 YES 17 YES 2/28 3/31 4/30 5/31 6/30 7/31 8/31 9/30 10/31 11/30 12/31 791.66 791.66 13458.22 14249.88 18 YES 37,708.42 36,916.76 36,125.10 35,333.44 34,541.78 33,750.12 32,958.46 32,166.80 31,375.14 30,583.48 29,791.82 29,000.16 19 15041.54 YES 791.66 791.66 20 15833.2 YES 21 791.66 16624.86 YES 22 17416.52 23 791.66 791.66 791.66 18208.18 24 1/31 18999.84 Period Year 3 P/E Date Depreciation Amount Book Value Posted Accumulated Depreciation 18999.84 25 791.66 791.66 19791.5 20583.16 26 27 791.66 21374.82 2/28 3/31 4/30 5/31 6/30 7/31 28 791.66 22166.48 29 22958.14 791.66 791.66 30 23749.8 29,000.16 28,208.50 27,416.84 26,625.18 25,833.52 25,041.86 24,250.20 23,458.54 22,666.88 21,875.22 21,083.56 20,291.90 19,500.24 31 791.66 24541.46 32 791.66 25333.12 26124.78 33 34 8/31 9/30 10/31 11/30 12/31 1/31 791.66 791.66 791.66 35 26916.44 27708.1 28499.76 36 791.66 Period Year 4 P/E Date Depreciation Amount Book Value Posted Accumulated Depreciation 28499.76 37 791.66 29291.42 38 791.66 30083.08 2/28 3/31 4/30 5/31 39 30874.74 40 791.66 791.66 791.66 41 6/30 7/31 31666.4 32458.06 33249.72 42 791.66 19,500.24 18,708.58 17,916.92 17,125.26 16,333.60 15,541.94 14,750.28 13,958.62 13,166.96 12,375.30 11,583.64 10,791.98 10,000.00 43 34041.38 44 791.66 791.66 791.66 34833.04 35624.7 45 8/31 9/30 10/31 11/30 12/31 1/31 46 791.66 47 791.66 791.98 36416.36 37208.02 38000.00 48 Posted Schedules of Office Furniture and Equipment Depreciation Items: (Initial Investment) (2) Computers Printer Invoice itemized computer software (2) Desks (2) Filing cabinets (2) Chairs Telephone/answering/fax machine Copier Invoice itemized misc items Telephone Purchase Date: 01/01/20XX Purchase Price: $6,125.04 Method of Depr.: Straight-Line # of Years: 3 Salvage Value: $0.00 Depr. Per Period: $170.14 Period Year 1 Depreciation Accumulated Book Value P/E Date Amount Depreciation 6,125.04 1 01/31 170.14 170.14 5,954.90 2. 02/28 170.14 340.28 5,784.76 3 03/31 170.14 510.42 5,614.62 4 04/30 170.14 680.56 5,444.48 5 05/31 170.14 850.70 5,274.34 6 06/30 170.14 1,020.84 5,104.20 7 07/31 170.14 1,190.98 4,934.06 8 08/31 170.14 1,361.12 4,763.92 9 09/30 170.14 1,531.26 4,593.78 10/31 170.14 1,701.40 4,423.64 11 11/30 170.14 1,871.54 4,253.50 12 12/31 170.14 2,041.68 4,083.36 YES YES YES YES YES YES YES YES YES 10 YES YES YES Period Year 2 P/E Date Depreciation Amount Book Value Posted Accumulated Depreciation 2,041.68 2,211.82 2,381.96 2,552.10 1 170.14 YES 01/31 02/28 2 YES 3 170.14 170.14 170.14 YES 03/31 04/30 05/31 4 YES 5 YES 170.14 170.14 6 YES 4,083.36 3,913.22 3,743.08 3,572.94 3,402.80 3,232.66 3,062.52 2,892.38 2,722.24 2,552.10 2,381.96 2,211.82 2,041.68 7 170.14 YES 8 170.14 2,722.24 2,892.38 3,062.52 3,232.66 3,402.80 3,572.94 3,743.08 3,913.22 4,083.36 06/30 07/31 08/31 09/30 10/31 11/30 12/31 YES 9 YES 170.14 170.14 10 YES 11 170.14 170.14 12 Period Year 3 P/E Date Depreciation Amount Book Value Posted 1 170.14 170.14 2 3 01/31 02/28 03/31 04/30 05/31 06/30 170.14 170.14 2,041.68 1,871.54 1,701.40 1,531.26 1,361.12 1,190.98 1,020.84 850.70 680.56 5 Accumulated Depreciation 4,083.36 4,253.50 4,423.64 4,593.78 4,763.92 4,934.06 5,104.20 5,274.34 5,444.48 5,614.62 5,784.76 5,954.90 6,125.04 170.14 170.14 6 7 170.14 8 170.14 9 510.42 07/31 08/31 09/30 10/31 11/30 12/31 10 170.14 170.14 170.14 340.28 11 170.14 12 170.14 0.00 NINI Merchandise Inventory Valuation As of November 31, 20XX Item No. Description No. of Items Amount DR-0003 Dining Room Set 2 $ 2,500.00 DRS-0005 Dining Room Set $ 2,125.00 DRS-0009 Dining Room Set $ 3,455.00 TBL-0023 Table 4 $ 65.00 TBL-0037 Table 3 $ 85.00 CHR-0002 Chairs-4 set 3 $ 90.00 CHR-0005 Chairs - 6 set 6 $ 120.00 ETB-0003 End Table 3 $ 45.00 ETB-0006 End Table 4 $ 55.00 MGR-0004 Magazine Rack 5 $ 15.00 WNR-0001 Wine Rack 2 $ 125.00 LMP-0003 Lamp 5 $ 65.00 CTB-0007 - Coffee Table 6 $ 90.00 RCH-0001 Rocking Chair 4 $ 85.00 DRS-0002 Dresser - 8 Drawer 3 $ 235.00 DRS-0001 Dresser - 10 Drawer 1 $ 275.00 DRS-0004 Dresser - 12 Drawer 1 $ 295.00 BRM-0002 Bedroom Set 2 $3,250.00 BRM-0003 Bedroom Set 1 $ 3,675.00 HTC-0004 Hutch 4 $ 125.00 Total inventory value Total Amount $5,000.00 $ 4,250.00 $ 6,910.00 $ 260.00 $ 255.00 $ 270.00 $ 720.00 $ 135.00 $ 220.00 $ 75.00 $ 250.00 $ 325.00 $ 540.00 $ 340.00 $ 705.00 $ 275.00 $ 295.00 $ 6,500.00 $ 3,675.00 $ 500.00 $ 31,500.00 Office Supplies Inventory Valuation November 31, 20xx Description No. of Items Amount Total Amount Legal Pads - 12 PK 4 $ 8.95 $ 35.80 Copy Paper - Case 4 $ 35.99 $ 143.96 Roller Pens - Dz 4 $ 12.49 $ 49.96 Wood Pencils - Dz 20 $ 1.69 $ 33.80 Permanent Marker - Dz 2 $ 6.99 $ 13.98 Correction Fluid - Dz 1 $ 1.30 $ 1.30 Highlighter - DZ $7.99 $15.98 Plain Envelopes - Box 2 $ 6.99 $ 13.98 Clasp Envelopes - Box 1 $ 13.99 $ 13.99 Receipt Book 2 $ 12.24 $ 24.48 Total Inventory Value $ 347.23 N NO. 2265 Basswood Furniture NO. 2265 20-104 740 DATE 20 TO 124 River St. Hemlock, PA 18951 20 FOR | PAY TO THE I ORDER OF . . DOLLARS CENTS Dollars BAL. BROT FOR'D For use in practice set AMT. DEPOSITED TOTAL HFCU Hemlock Federal Credit Union Hemlock, PA 18951-1463 by AMT. THIS CHECK BAL. CAR'D FORD .: 0660043727: 20 309921 FORM 15 Rocker Woodcraft Sold To Basswood Furniture 124 River St. Hemlock, PA Date December 8, 20XX Our Order No. 21149 Invoice No. 96177 Terms 2/10, N30 Salesperson Ron Shipped By Customer Your Order No. 1225 641 Oak St. Hemlock, PA 18955 QUANTITY DESCRIPTION PRODUCT NO. UNIT PRICE TOTAL 1 $2299.00 $2299.00 Air Ventilation/Dust Collection System DC-632 Tax Total Check #2655 137.94 $2436.94 (750.00) Balance Due $1686.94 PAGE CASH PAYMENTS JOURNAL GENERAL IDEUM POWT. PAYALE ACCOUNT DEGED (CHADETED). DR CAH DATE NO DR. 5 10 1- 11 11 12 12 13 19 14 14 10 1. 16 16 17 17 CASH RECEIPTS JOURNAL PAGE WOODENA POST. RECHTYABLE WU PAVASUS OK DATE BALES R CAIBOORT ANDORRE OL ACOXUNTOS CASH DR. 1- SEA 11 13 19 14 14 1. 16 13 HABER GENERAL TOURNAL FAGE DU 10 10 11 11 12 13 14 14 1. 16 1 17 16 19 1 20 24 LOOYUNI ASTOUNTNO DUJE TTEM POST. MF. CREDIT ALUE CREDIT CE.IT NAYE ACCOUNT NO. DAJE ITEM POST. REF CET PRET ALME ET RENT Type text here Schedules of Equipment Depreciation Items: (Initial Investment) Table saw Compound miter saw Band saw Scroll saw Router table Drill press Lathe Planer Dust collection system Work benches Invoice itemized misc equipment Purchase Date: 01/01/20XX Purchase Price: $23,500.80 Method of Depr.: Straight-Line # of Years: 3 Salvage Value: $0.00 Depr. Per Period: $652.80 Period Year 1 P/E Date Depreciation Amount Accumulated Depreciation Book Value Posted 1 652.80 652.80 YES 2 652.80 YES 3 652.80 YES 4 652.80 YES 5 YES 652.80 652.80 6 01/31 02/28 03/31 04/30 05/31 06/30 07/31 08/31 09/30 10/31 11/30 12/31 YES 23,500.80 22,848.00 22,195.20 21,542.40 20,889.60 20,236.80 19,584.00 18,931.20 18,278.40 17,625.60 16,972.80 16,320.00 15,667.20 7 1,305.60 1,958.40 2,611.20 3,264.00 3,916.80 4,569.60 5,222.40 5,875.20 6,528.00 7,180.80 7,833.60 652.80 YES 8 652.80 YES 9 652.80 YES 10 YES 11 652.80 652.80 652.80 YES 12 YES Period Year 2 P/E Date Depreciation Amount Book Value Posted 1 YES 2 652.80 652.80 652.80 YES 3 YES YES 4 5 6 01/31 02/28 03/31 04/30 05/31 06/30 07/31 08/31 09/30 10/31 652.80 652.80 652.80 YES Accumulated Depreciation 7,833.60 8,486.40 9,139.20 9,792.00 10,444.80 11,097.60 11,750.40 12,403.20 13,056.00 13,708.80 14,361.60 15,014.40 15,667.20 15,667.20 15,014.40 14,361.60 13,708.80 13,056.00 12,403.20 11,750.40 11,097.60 10,444.80 9,792.00 9,139.20 8,486.40 7,833.60 YES 7 YES 8 652.80 652.80 652.80 YES 9 YES YES 10 652.80 652.80 11 11/30 12/31 12 652.80 Period Year 3 P/E Date Depreciation Amount Book Value Posted 1 7,833.60 7,180.80 6,528.00 5,875.20 652.80 652.80 652.80 2 3 01/31 02/28 03/31 04/30 05/31 06/30 4 652.80 5 652.80 652.80 Accumulated Depreciation 15,667.20 16,320.00 16,972.80 17,625.60 18,278.40 18,931.20 19,584.00 20,236.80 20,889.60 21,542.40 22,195.20 22,848.00 23,500.80 6 7 652.80 5,222.40 4,569.60 3,916.80 3,264.00 2,611.20 1,958.40 1,305.60 8 652.80 652.80 07/31 08/31 09/30 10/31 11/30 12/31 9 10 652.80 652.80 652.80 11 12 652.80 0.00 Schedules of Vehicle Depreciation Make: Ford Model: Econoline Van Year: 20xx Purchase Date: 02/01/20XX Purchase Price: $48,000 Method of Depr.: Straight-Line # of Years: 4 Salvage Value: $10,000 Depr. Per Period: $791.66 Period Year 1 P/E Date Depreciation Amount Accumulated Depreciation Book Value Posted 1 791.66 791.66 YES YES 2 791.66 1583.32 3 YES 4 791.66 791.66 791.66 2374.98 3166.64 3958.3 YES YES 5 2/28 3/31 4/30 5/31 6/30 7/31 8/31 9/30 10/31 11/30 6 4749.96 48,000.00 47,208.34 46,416.68 45,625.02 44,833.36 44,041.70 43,250.04 42,458.38 41,666.72 40,875.06 40,083.40 39,291.74 38,500.08 YES 791.66 791.66 791.66 7 5541.62 YES 8 6333.28 YES 9 YES 791.66 791.66 7124.94 7916.6 10 YES YES 11 12 12/31 1/31 791.66 791.66 8708.26 9499.92 YES Period Year 2 P/E Date Depreciation Amount Book Value Posted 38,500.08 Accumulated Depreciation 9499.92 10291.58 11083.24 11874.9 YES 14 791.66 791.66 791.66 YES 15 YES 16 791.66 12666.56 YES 17 YES 2/28 3/31 4/30 5/31 6/30 7/31 8/31 9/30 10/31 11/30 12/31 791.66 791.66 13458.22 14249.88 18 YES 37,708.42 36,916.76 36,125.10 35,333.44 34,541.78 33,750.12 32,958.46 32,166.80 31,375.14 30,583.48 29,791.82 29,000.16 19 15041.54 YES 791.66 791.66 20 15833.2 YES 21 791.66 16624.86 YES 22 17416.52 23 791.66 791.66 791.66 18208.18 24 1/31 18999.84 Period Year 3 P/E Date Depreciation Amount Book Value Posted Accumulated Depreciation 18999.84 25 791.66 791.66 19791.5 20583.16 26 27 791.66 21374.82 2/28 3/31 4/30 5/31 6/30 7/31 28 791.66 22166.48 29 22958.14 791.66 791.66 30 23749.8 29,000.16 28,208.50 27,416.84 26,625.18 25,833.52 25,041.86 24,250.20 23,458.54 22,666.88 21,875.22 21,083.56 20,291.90 19,500.24 31 791.66 24541.46 32 791.66 25333.12 26124.78 33 34 8/31 9/30 10/31 11/30 12/31 1/31 791.66 791.66 791.66 35 26916.44 27708.1 28499.76 36 791.66 Period Year 4 P/E Date Depreciation Amount Book Value Posted Accumulated Depreciation 28499.76 37 791.66 29291.42 38 791.66 30083.08 2/28 3/31 4/30 5/31 39 30874.74 40 791.66 791.66 791.66 41 6/30 7/31 31666.4 32458.06 33249.72 42 791.66 19,500.24 18,708.58 17,916.92 17,125.26 16,333.60 15,541.94 14,750.28 13,958.62 13,166.96 12,375.30 11,583.64 10,791.98 10,000.00 43 34041.38 44 791.66 791.66 791.66 34833.04 35624.7 45 8/31 9/30 10/31 11/30 12/31 1/31 46 791.66 47 791.66 791.98 36416.36 37208.02 38000.00 48 Posted Schedules of Office Furniture and Equipment Depreciation Items: (Initial Investment) (2) Computers Printer Invoice itemized computer software (2) Desks (2) Filing cabinets (2) Chairs Telephone/answering/fax machine Copier Invoice itemized misc items Telephone Purchase Date: 01/01/20XX Purchase Price: $6,125.04 Method of Depr.: Straight-Line # of Years: 3 Salvage Value: $0.00 Depr. Per Period: $170.14 Period Year 1 Depreciation Accumulated Book Value P/E Date Amount Depreciation 6,125.04 1 01/31 170.14 170.14 5,954.90 2. 02/28 170.14 340.28 5,784.76 3 03/31 170.14 510.42 5,614.62 4 04/30 170.14 680.56 5,444.48 5 05/31 170.14 850.70 5,274.34 6 06/30 170.14 1,020.84 5,104.20 7 07/31 170.14 1,190.98 4,934.06 8 08/31 170.14 1,361.12 4,763.92 9 09/30 170.14 1,531.26 4,593.78 10/31 170.14 1,701.40 4,423.64 11 11/30 170.14 1,871.54 4,253.50 12 12/31 170.14 2,041.68 4,083.36 YES YES YES YES YES YES YES YES YES 10 YES YES YES Period Year 2 P/E Date Depreciation Amount Book Value Posted Accumulated Depreciation 2,041.68 2,211.82 2,381.96 2,552.10 1 170.14 YES 01/31 02/28 2 YES 3 170.14 170.14 170.14 YES 03/31 04/30 05/31 4 YES 5 YES 170.14 170.14 6 YES 4,083.36 3,913.22 3,743.08 3,572.94 3,402.80 3,232.66 3,062.52 2,892.38 2,722.24 2,552.10 2,381.96 2,211.82 2,041.68 7 170.14 YES 8 170.14 2,722.24 2,892.38 3,062.52 3,232.66 3,402.80 3,572.94 3,743.08 3,913.22 4,083.36 06/30 07/31 08/31 09/30 10/31 11/30 12/31 YES 9 YES 170.14 170.14 10 YES 11 170.14 170.14 12 Period Year 3 P/E Date Depreciation Amount Book Value Posted 1 170.14 170.14 2 3 01/31 02/28 03/31 04/30 05/31 06/30 170.14 170.14 2,041.68 1,871.54 1,701.40 1,531.26 1,361.12 1,190.98 1,020.84 850.70 680.56 5 Accumulated Depreciation 4,083.36 4,253.50 4,423.64 4,593.78 4,763.92 4,934.06 5,104.20 5,274.34 5,444.48 5,614.62 5,784.76 5,954.90 6,125.04 170.14 170.14 6 7 170.14 8 170.14 9 510.42 07/31 08/31 09/30 10/31 11/30 12/31 10 170.14 170.14 170.14 340.28 11 170.14 12 170.14 0.00 NINI Merchandise Inventory Valuation As of November 31, 20XX Item No. Description No. of Items Amount DR-0003 Dining Room Set 2 $ 2,500.00 DRS-0005 Dining Room Set $ 2,125.00 DRS-0009 Dining Room Set $ 3,455.00 TBL-0023 Table 4 $ 65.00 TBL-0037 Table 3 $ 85.00 CHR-0002 Chairs-4 set 3 $ 90.00 CHR-0005 Chairs - 6 set 6 $ 120.00 ETB-0003 End Table 3 $ 45.00 ETB-0006 End Table 4 $ 55.00 MGR-0004 Magazine Rack 5 $ 15.00 WNR-0001 Wine Rack 2 $ 125.00 LMP-0003 Lamp 5 $ 65.00 CTB-0007 - Coffee Table 6 $ 90.00 RCH-0001 Rocking Chair 4 $ 85.00 DRS-0002 Dresser - 8 Drawer 3 $ 235.00 DRS-0001 Dresser - 10 Drawer 1 $ 275.00 DRS-0004 Dresser - 12 Drawer 1 $ 295.00 BRM-0002 Bedroom Set 2 $3,250.00 BRM-0003 Bedroom Set 1 $ 3,675.00 HTC-0004 Hutch 4 $ 125.00 Total inventory value Total Amount $5,000.00 $ 4,250.00 $ 6,910.00 $ 260.00 $ 255.00 $ 270.00 $ 720.00 $ 135.00 $ 220.00 $ 75.00 $ 250.00 $ 325.00 $ 540.00 $ 340.00 $ 705.00 $ 275.00 $ 295.00 $ 6,500.00 $ 3,675.00 $ 500.00 $ 31,500.00 Office Supplies Inventory Valuation November 31, 20xx Description No. of Items Amount Total Amount Legal Pads - 12 PK 4 $ 8.95 $ 35.80 Copy Paper - Case 4 $ 35.99 $ 143.96 Roller Pens - Dz 4 $ 12.49 $ 49.96 Wood Pencils - Dz 20 $ 1.69 $ 33.80 Permanent Marker - Dz 2 $ 6.99 $ 13.98 Correction Fluid - Dz 1 $ 1.30 $ 1.30 Highlighter - DZ $7.99 $15.98 Plain Envelopes - Box 2 $ 6.99 $ 13.98 Clasp Envelopes - Box 1 $ 13.99 $ 13.99 Receipt Book 2 $ 12.24 $ 24.48 Total Inventory Value $ 347.23 N
Step by Step Solution
There are 3 Steps involved in it
Get step-by-step solutions from verified subject matter experts
