Question: From Schedules C (AS REPORTED) % 2014 % REVISED based on Estimated Ending Inventory 2015 % 2013 2015 % Revenue Fuel revenue Beginning inventory +




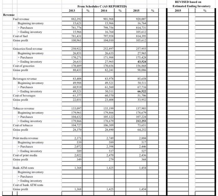
From Schedules C (AS REPORTED) % 2014 % REVISED based on Estimated Ending Inventory 2015 % 2013 2015 % Revenue Fuel revenue Beginning inventory + Purchases Ending inventory Cost of fuel Gross profit 882,392 15,621 781,776 15.966 781,431 100.961 901,968 15,966 798,756 16,764 797,958 104,010 920,007 16,764 814,731 105.612 814,395 105,612 Groceries/food revenue Beginning inventory + Purchases - Ending inventory Cost of groceries Gross profit 250,922 26,851 170,271 26,633 170,4891 80,433 252.897 26,633 171.988 27,965 170,656 82.241 257,955 27,965 175,428 43,524 156,868 98,086 Beverages revenue Beginning inventory + Purchases Ending inventory Cost of beverages Gross profit 83,408 49,988 60,910) 49,521 61,377 22,031 83,978 49,521 61,560 50,511 60.570 23,408 85,658 50,511 67,716 66,522 $1,706 33.952 Tobacco revenue Beginning inventory + Purchases Ending inventory Cost of tobacco Gross profit 133,097 179,961 104.632 179,866 104,727 28,370 135.199 179,866 105,122 178,679 106,309 28,890 137,903 178,679 107,224 212,253 73,651 64,252 Print media revenue Beginning inventory + Purchases - Ending inventory Cost of print media Gross profit 2,371 539 2,072 589 2,022 349 2.749 589 2,398 517 2.470 279 2,804 517 2.446 527 2,436 368 1,368 1,425 1.454 Bank ATM rents Beginning inventory + Purchases - Ending inventory Cost of bank ATM rents Gross profit 1,368 1.425 1.454 Total revenue Beginning inventory + Purchases - Ending inventory Total cost of goods sold Total gross profit 1.353,558 272,960 1,119,661 272,575 1.120,046 233,512 1,378.216 272,575 1,139,824 274,436 1,137,963 240.253 1,405,780 274,436 1.167,545 339.925 1.102,0571 303,724 Expenses Administration fee Advertisement Cash over/short Credit card fees Rent expense Equipment station repair Expense items Insurance NSF checks expense Payroll tax expense Permits/legal Salaries Taxes Utilities Total All Expenses Net Profit (REPORTED) Net Pront (REVISED) Difference (Reported, Less Estimated) 24.120 2,080 3,603 1,971 12.000 10,450 10,585 3,666 91 6,487 354 84,814 2.105 11,6161 173,942 24.120 2.099 2.765 2,031 12.000 9.869 11.521 3.69N SO 6,787 352 85.995 2.179 12.301 175,767 24,602 2,414 2.820 2,072 12,000 10,066 11,751 5,698 SI 5,675 10,852 70,495 2.223 12.547 173.266 (a) Ending Inventory is Estimated using Cost of Goods Sold / Gross Receipts Method 2014 % PROOF 2015 (Estimated) 2013 2013-14 Avg. Cost of groceries Gross Revenue - Groceries/Food 2013-2014 Percent COGS/Gross receipts Cost of beverages Gross Revenue - Beverages 2013-2014 Pereet COGS/Grass receipts Cost of tobacco Gross Revenue - Tobacco 2013-2014 Percent COGS/Gross receipts DAYS SALES OF INVENTORY CALCULATION 2013 % PROOF 2015 (Estimated) 2015 (Reported) 2014 0 272,575 1.120,046 274,436 1,137,963 339.925 1,102,057 0 TOTAL INVENTORY Inventory Cost of Sales X 365 Days Sales of Inventory GROCERIES INVENTORY Inventory Cost of Sales 1x 365 Days Sales of Inventory BEVERAGES INVENTORY Inventory Cost of Sales 1x 365 Days Sales of Inventory TOBACCO INVENTORY Inventory Cost of Sales X 365 Days Sales of Inventory OTHER INCOME TAX RETURN INFORMATION - NOT IN SCHEDULESC 2013 2014 2015 (Reported) Wages, salaries Interest Estimated Tax Payments 1. Input the IRS Schedules C from the 2013-2015 income tax returns into a spreadsheet. a. Add percent columns to the right of dollar column for each year. b. Calculate common-sized percentages in the percent columns [divide each number for that year (e.g., 2013) by gross receipts for that year (e.g., 2013)]. c. Review the dollars horizontally across the three years and vertically down each year and identify any material irregularities. d. Review the percentages horizontally across the three years and verti- cally down each year and identify any material irregularities. e. Are there any material trends or material single-year changes (e.g., material increases or decreases)? 2. Input the other metrics from the individual tax returns (e.g., income from wages and salaries, interest earned, and estimated tax payments). a. Review the dollars horizontally across the three years and vertically down each year and identify any material irregularities. b. Compare estimated tax payments with total taxes for the year (vertically during the same year). c. Are there any material trends or material single-year changes (e.g.. material increases or decreases)? 3. Because you did not observe the inventory, which was destroyed in the fire, estimate ending inventory using the 2013 and 2014 dollars and percent- ages (Method #1: Cost of goods sold to gross receipts ratio). a. Because you did not observe the inventory, estimate the ending inven. tory for 2015 by: 1. Averaging the 2013 and 2014 cost of goods sold and 2013 and 2014 gross receipts, and then dividing the average cost of goods sold by the average gross receipts. You cannot use an average of an average (e.g. Cost of goods sold/Gross receipts ratios for 2013 and 2014), which can distort the average. You must calculate the average for each and then the Cost of goods sold/Gross receipts ratio. 1. receipts to get an estimated 2015 cost of goods sold total in dollars, 4. How does the estimated ending inventory impact the individual income tax return ending inventory.cost of goods sold, net profit, and net income? Find out by adding an additional column for 2015 and recalculate cost of goods sold using the estimates calculated above. Every number in that column is identical to the recorded 2015 column except estimated inventory, cost of goods sold, gross profit, and net profit. 5. Compare your recalculated ending inventory to that given to Sharptop Bank and to Southern Appalachian Insurance. Is either estimated end- ing inventory materially different from that reported on the 2015 IRS Schedule C2 6. OPTIONAL (extra credit points determined by professor) Because you did not observe the inventory, which was destroyed in the fire, estimate ending inventory by rolling the October 31, 2015, physical inventory totals forward (method #2). a. Starting with the October 31, 2015. physical inventory, roll the inven- tory forward at cost by adding the purchases from November 1, 2015. through December 31, 2015 (according to the various wholesaler purchase records) to the December 31, 2015. physical inventory totals. This results in the inventory available for sale during 2015. b. Then.reduce the inventory available for sale by the sales from November and December 2015 Georgia Sales and Use Tax Returns. Note: These sales are at retail price and must be reduced to wholesale cost. Use the Cost of goods sold/Gross receipts ratio determined in 3.a.i. 7. OPTIONAL (extra credit points determined by professor) Go to a business library or university librarian and locate RMA Annual Financial State- ment Studies or a similar publication and locate convenience stores and comparable ratios (e.g., cost of goods sold to total revenues). How does the cost of goods sold to total receipts ratio in that publication the ratios on the 2015 IRS Schedule C? compare to From Schedules C (AS REPORTED) % 2014 % REVISED based on Estimated Ending Inventory 2015 % 2013 2015 % Revenue Fuel revenue Beginning inventory + Purchases Ending inventory Cost of fuel Gross profit 882,392 15,621 781,776 15.966 781,431 100.961 901,968 15,966 798,756 16,764 797,958 104,010 920,007 16,764 814,731 105.612 814,395 105,612 Groceries/food revenue Beginning inventory + Purchases - Ending inventory Cost of groceries Gross profit 250,922 26,851 170,271 26,633 170,4891 80,433 252.897 26,633 171.988 27,965 170,656 82.241 257,955 27,965 175,428 43,524 156,868 98,086 Beverages revenue Beginning inventory + Purchases Ending inventory Cost of beverages Gross profit 83,408 49,988 60,910) 49,521 61,377 22,031 83,978 49,521 61,560 50,511 60.570 23,408 85,658 50,511 67,716 66,522 $1,706 33.952 Tobacco revenue Beginning inventory + Purchases Ending inventory Cost of tobacco Gross profit 133,097 179,961 104.632 179,866 104,727 28,370 135.199 179,866 105,122 178,679 106,309 28,890 137,903 178,679 107,224 212,253 73,651 64,252 Print media revenue Beginning inventory + Purchases - Ending inventory Cost of print media Gross profit 2,371 539 2,072 589 2,022 349 2.749 589 2,398 517 2.470 279 2,804 517 2.446 527 2,436 368 1,368 1,425 1.454 Bank ATM rents Beginning inventory + Purchases - Ending inventory Cost of bank ATM rents Gross profit 1,368 1.425 1.454 Total revenue Beginning inventory + Purchases - Ending inventory Total cost of goods sold Total gross profit 1.353,558 272,960 1,119,661 272,575 1.120,046 233,512 1,378.216 272,575 1,139,824 274,436 1,137,963 240.253 1,405,780 274,436 1.167,545 339.925 1.102,0571 303,724 Expenses Administration fee Advertisement Cash over/short Credit card fees Rent expense Equipment station repair Expense items Insurance NSF checks expense Payroll tax expense Permits/legal Salaries Taxes Utilities Total All Expenses Net Profit (REPORTED) Net Pront (REVISED) Difference (Reported, Less Estimated) 24.120 2,080 3,603 1,971 12.000 10,450 10,585 3,666 91 6,487 354 84,814 2.105 11,6161 173,942 24.120 2.099 2.765 2,031 12.000 9.869 11.521 3.69N SO 6,787 352 85.995 2.179 12.301 175,767 24,602 2,414 2.820 2,072 12,000 10,066 11,751 5,698 SI 5,675 10,852 70,495 2.223 12.547 173.266 (a) Ending Inventory is Estimated using Cost of Goods Sold / Gross Receipts Method 2014 % PROOF 2015 (Estimated) 2013 2013-14 Avg. Cost of groceries Gross Revenue - Groceries/Food 2013-2014 Percent COGS/Gross receipts Cost of beverages Gross Revenue - Beverages 2013-2014 Pereet COGS/Grass receipts Cost of tobacco Gross Revenue - Tobacco 2013-2014 Percent COGS/Gross receipts DAYS SALES OF INVENTORY CALCULATION 2013 % PROOF 2015 (Estimated) 2015 (Reported) 2014 0 272,575 1.120,046 274,436 1,137,963 339.925 1,102,057 0 TOTAL INVENTORY Inventory Cost of Sales X 365 Days Sales of Inventory GROCERIES INVENTORY Inventory Cost of Sales 1x 365 Days Sales of Inventory BEVERAGES INVENTORY Inventory Cost of Sales 1x 365 Days Sales of Inventory TOBACCO INVENTORY Inventory Cost of Sales X 365 Days Sales of Inventory OTHER INCOME TAX RETURN INFORMATION - NOT IN SCHEDULESC 2013 2014 2015 (Reported) Wages, salaries Interest Estimated Tax Payments 1. Input the IRS Schedules C from the 2013-2015 income tax returns into a spreadsheet. a. Add percent columns to the right of dollar column for each year. b. Calculate common-sized percentages in the percent columns [divide each number for that year (e.g., 2013) by gross receipts for that year (e.g., 2013)]. c. Review the dollars horizontally across the three years and vertically down each year and identify any material irregularities. d. Review the percentages horizontally across the three years and verti- cally down each year and identify any material irregularities. e. Are there any material trends or material single-year changes (e.g., material increases or decreases)? 2. Input the other metrics from the individual tax returns (e.g., income from wages and salaries, interest earned, and estimated tax payments). a. Review the dollars horizontally across the three years and vertically down each year and identify any material irregularities. b. Compare estimated tax payments with total taxes for the year (vertically during the same year). c. Are there any material trends or material single-year changes (e.g.. material increases or decreases)? 3. Because you did not observe the inventory, which was destroyed in the fire, estimate ending inventory using the 2013 and 2014 dollars and percent- ages (Method #1: Cost of goods sold to gross receipts ratio). a. Because you did not observe the inventory, estimate the ending inven. tory for 2015 by: 1. Averaging the 2013 and 2014 cost of goods sold and 2013 and 2014 gross receipts, and then dividing the average cost of goods sold by the average gross receipts. You cannot use an average of an average (e.g. Cost of goods sold/Gross receipts ratios for 2013 and 2014), which can distort the average. You must calculate the average for each and then the Cost of goods sold/Gross receipts ratio. 1. receipts to get an estimated 2015 cost of goods sold total in dollars, 4. How does the estimated ending inventory impact the individual income tax return ending inventory.cost of goods sold, net profit, and net income? Find out by adding an additional column for 2015 and recalculate cost of goods sold using the estimates calculated above. Every number in that column is identical to the recorded 2015 column except estimated inventory, cost of goods sold, gross profit, and net profit. 5. Compare your recalculated ending inventory to that given to Sharptop Bank and to Southern Appalachian Insurance. Is either estimated end- ing inventory materially different from that reported on the 2015 IRS Schedule C2 6. OPTIONAL (extra credit points determined by professor) Because you did not observe the inventory, which was destroyed in the fire, estimate ending inventory by rolling the October 31, 2015, physical inventory totals forward (method #2). a. Starting with the October 31, 2015. physical inventory, roll the inven- tory forward at cost by adding the purchases from November 1, 2015. through December 31, 2015 (according to the various wholesaler purchase records) to the December 31, 2015. physical inventory totals. This results in the inventory available for sale during 2015. b. Then.reduce the inventory available for sale by the sales from November and December 2015 Georgia Sales and Use Tax Returns. Note: These sales are at retail price and must be reduced to wholesale cost. Use the Cost of goods sold/Gross receipts ratio determined in 3.a.i. 7. OPTIONAL (extra credit points determined by professor) Go to a business library or university librarian and locate RMA Annual Financial State- ment Studies or a similar publication and locate convenience stores and comparable ratios (e.g., cost of goods sold to total revenues). How does the cost of goods sold to total receipts ratio in that publication the ratios on the 2015 IRS Schedule C? compare to
Step by Step Solution
There are 3 Steps involved in it
Get step-by-step solutions from verified subject matter experts
