Question: fThe figure shows a rectangular. 23-turn coil oi wire. oi dimensions 3.1 cm by 4.? cm. It carries a current oi 0.056 A and is






![about the hinge line. Hinge lint- I [a] Number n Units v](https://s3.amazonaws.com/si.experts.images/answers/2024/06/667791986b03d_088667791983f03c.jpg)

![particle iq = +2e. m = 4.130 u] travels in a circular](https://s3.amazonaws.com/si.experts.images/answers/2024/06/66779199651e0_089667791993eb43.jpg)



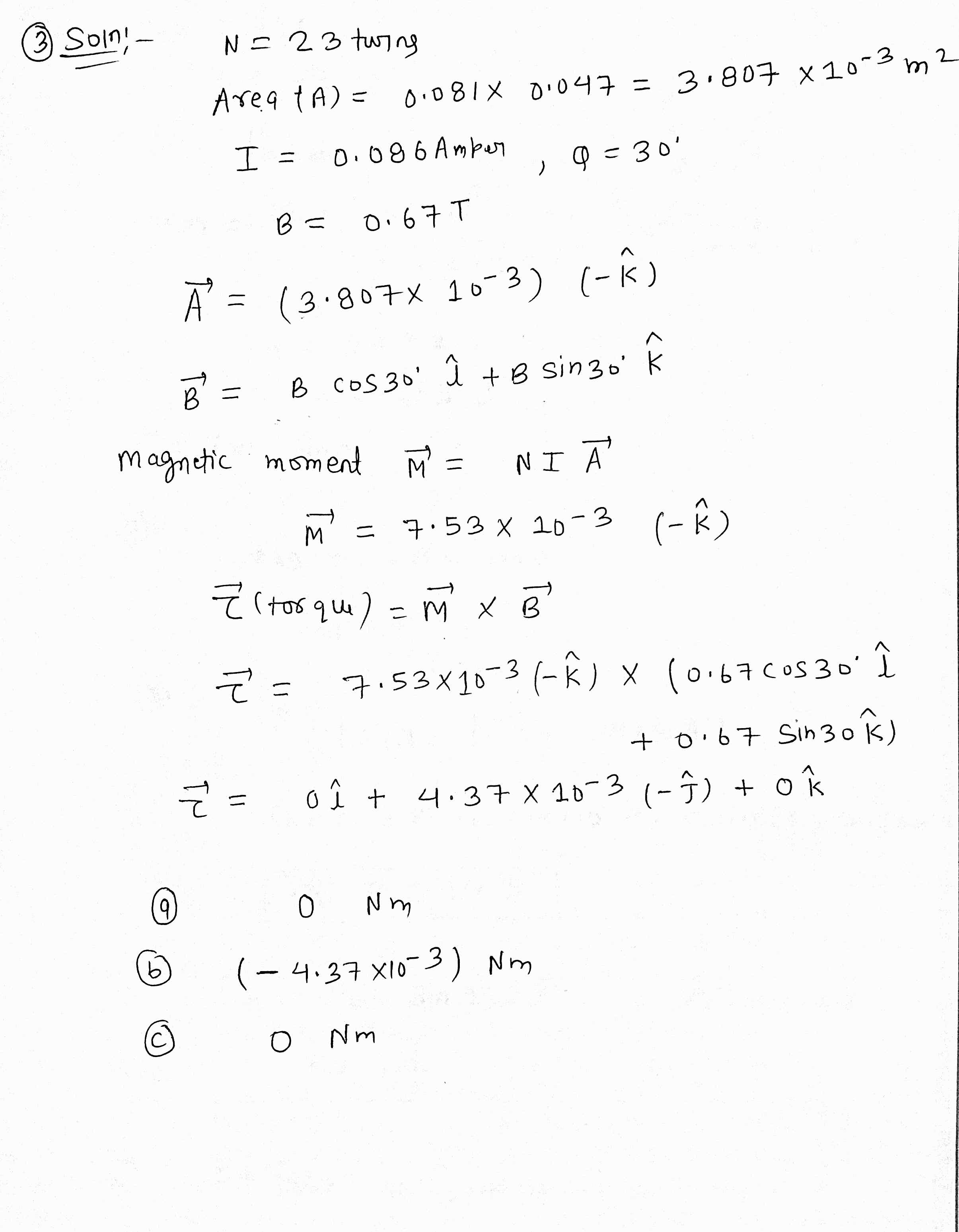
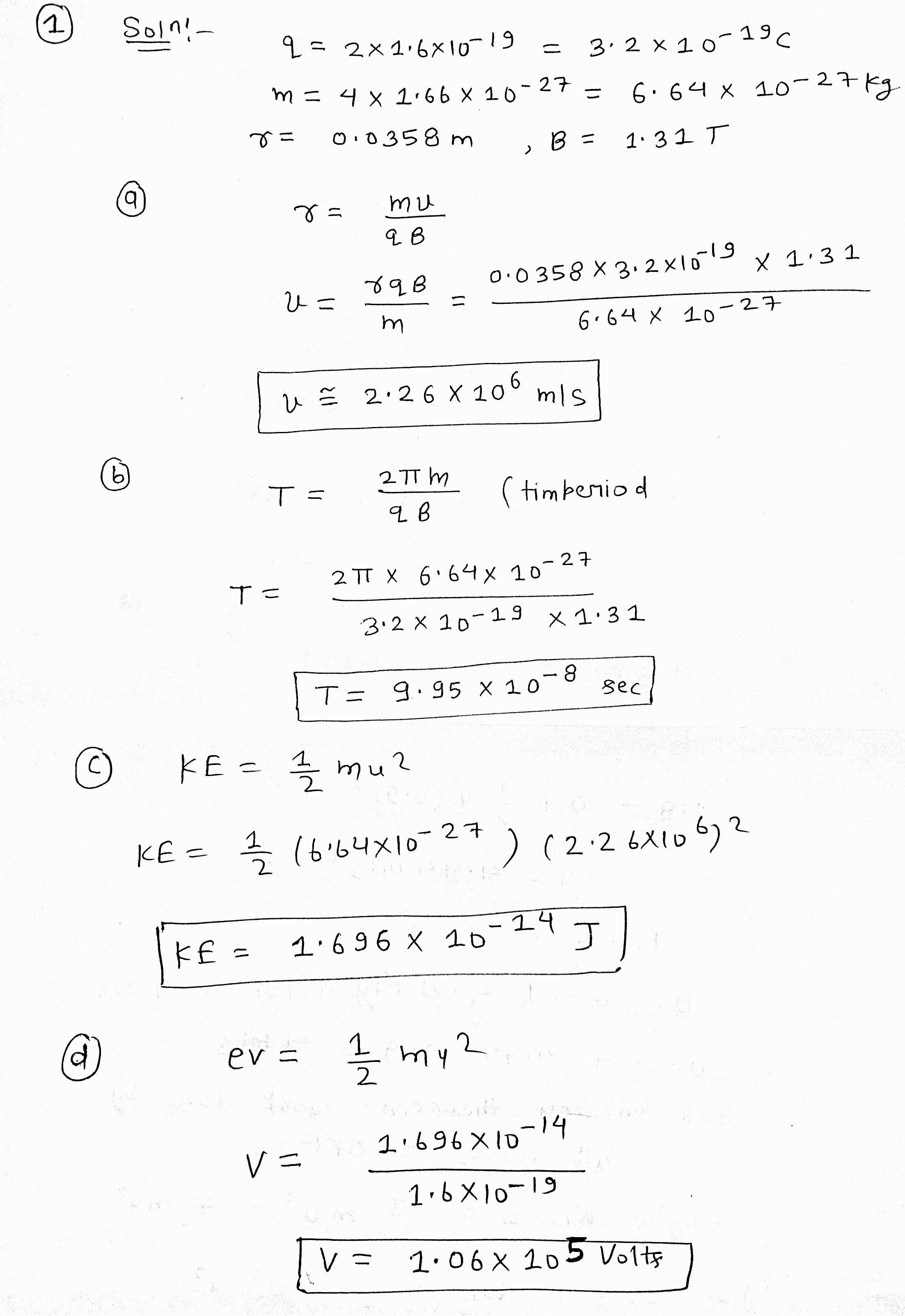
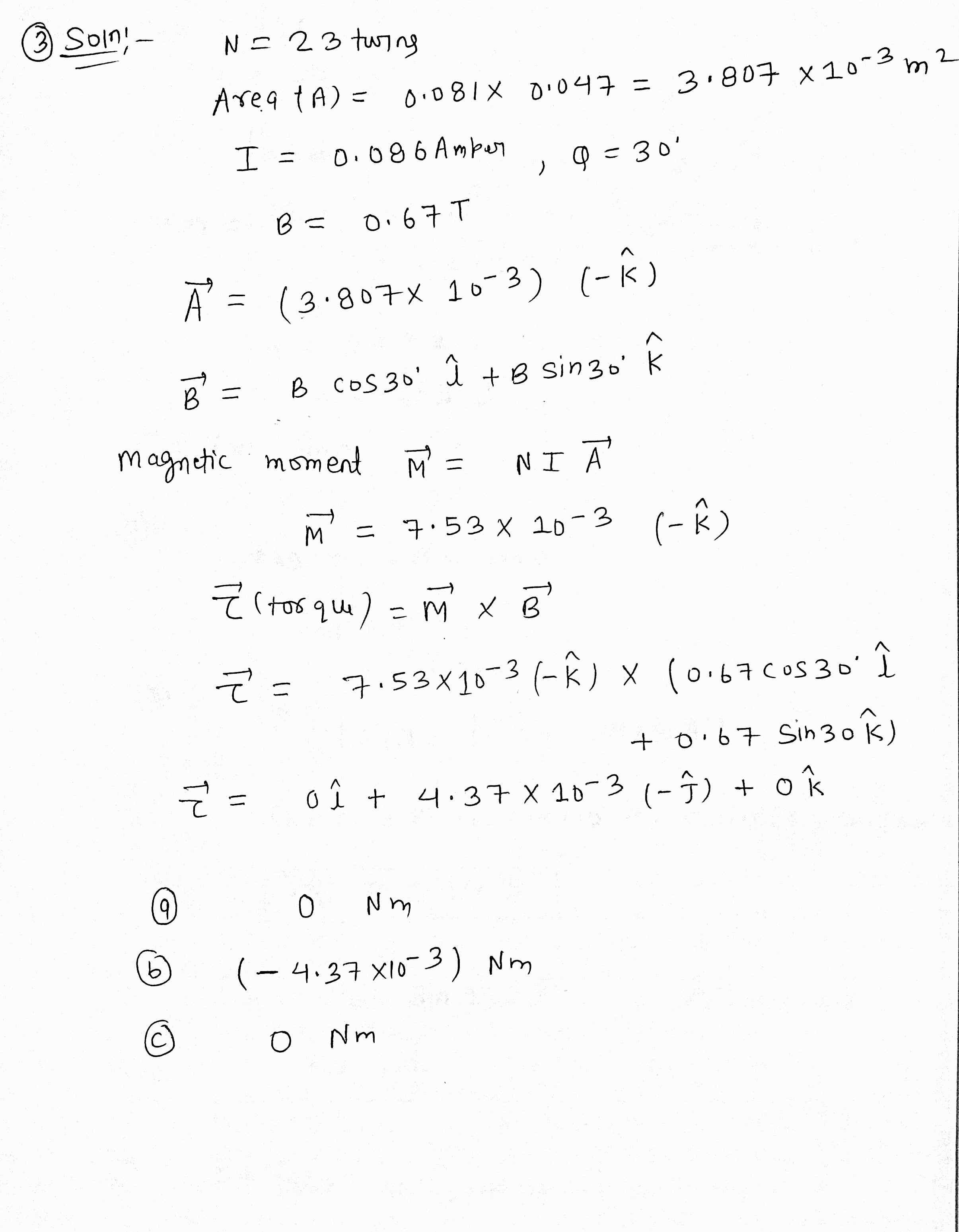
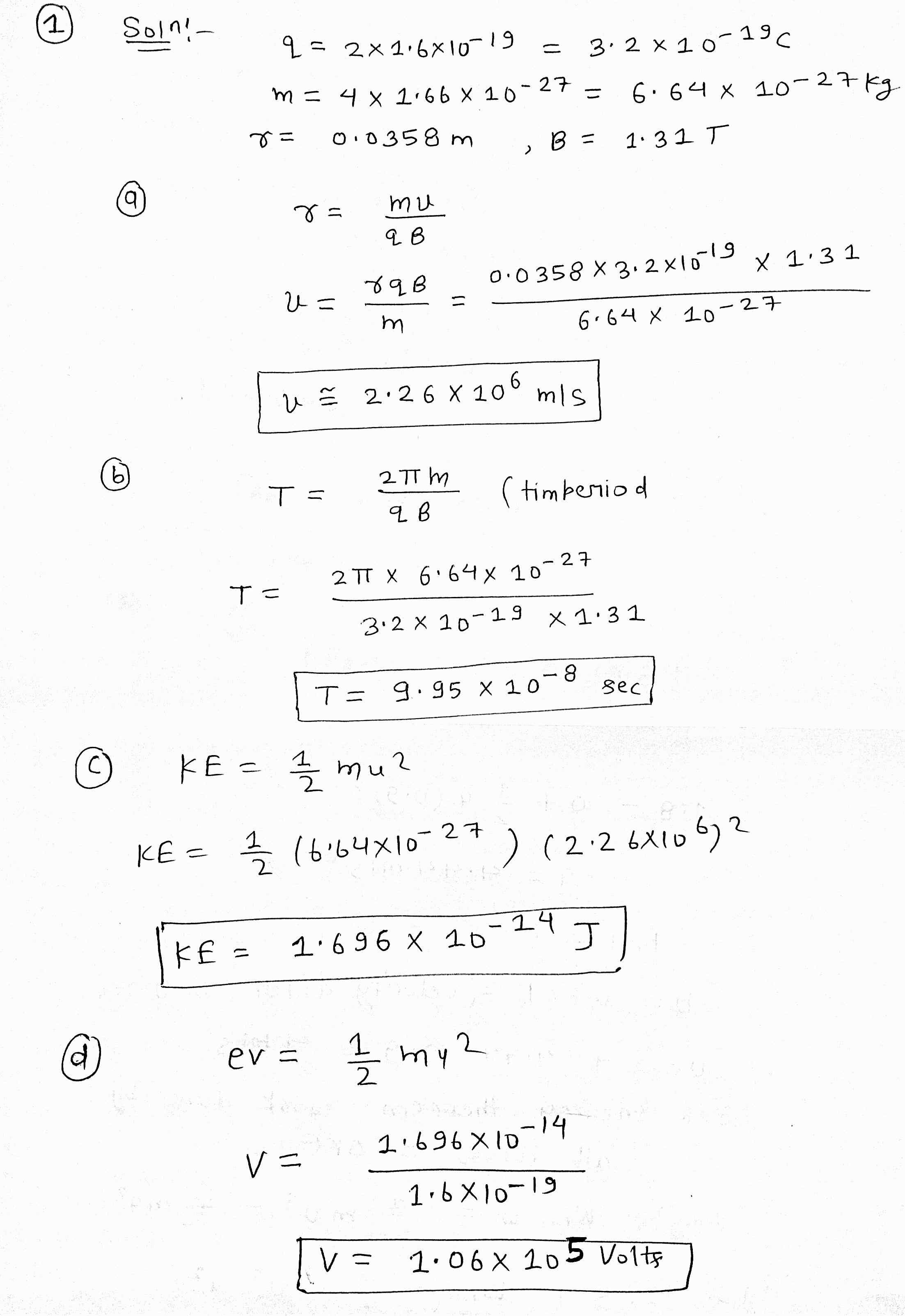
\fThe figure shows a rectangular. 23-turn coil oi wire. oi dimensions 3.1 cm by 4.? cm. It carries a current oi 0.056 A and is hinged along one long side. It is mounted in the xy plane. at an angle oi 30\" to the direction oi a uniiorm magnetic eld oi magnitude (to? T. Find the {a} x. {b} g. and {c} 2 components oi the torque acting on the coil about the hinge line. Hinge lint- I [a] Number n Units v lb} Number n Units v is} Number n Units v n alpha particle iq = +2e. m = 4.130 u] travels in a circular path ol radius 3.58 cm in a uniform magnetic held with B = 1.31 T. Calculate [all its speed. {b} its period oi revolution. {c} its kinetic energy. and {Cl} the potential dilierence through which it would have to be accelerated to achieve this energy. [all Number n Units at {b} Nu mher a Units v {c} Number n Units v {d} Number a Units v . single-turn current loop. carrying a current Dl 3.88 A. is in the shape Dl a right triangle with sides 44}. 122. and 130 cm. The loop is in a unilerm magnetic Field of magnitude 814 mTwhese direction is parallel to the current in the 131] cm side at the leap. What is the magnitude of the magnetic force on {a} the 131] cm side. {b} the 44.? cm side. and {c} the 122 cm side? {all What is the magnitude of the net ierce cm the leap? {a} Number n Units v {b} Number a Units v {c} Number n Units v {d} Number a Units v 3) Soin! N = 23 twing Area (A ) = 0.0 81 x 0 1 047 = 3 . 807 x 10- 3 m 2 I = 0. 086 Amber Q = 30' B = 0. 67 T A = ( 3 . 807 x 10 - 3 ) ( - K ) B' B cos 30 ' 1 + B sin 3o' k magnetic moment M' = NI A' M' = 7:53 x 10- 3 ( - K ) ( (torque ) = M X B' I = 7 . 53 x 10- 3 ( - K ) X (0 . 6 7 cos 30' 1 + 0 ' 6 7 Sin 30 k ) 0 1 + 4 . 3 7 x 10- 3 ( - J ) + OK (9 0 Nm b ( - 4.37 x10- 3 ) Nm (C O Nm
Step by Step Solution
There are 3 Steps involved in it
Get step-by-step solutions from verified subject matter experts
