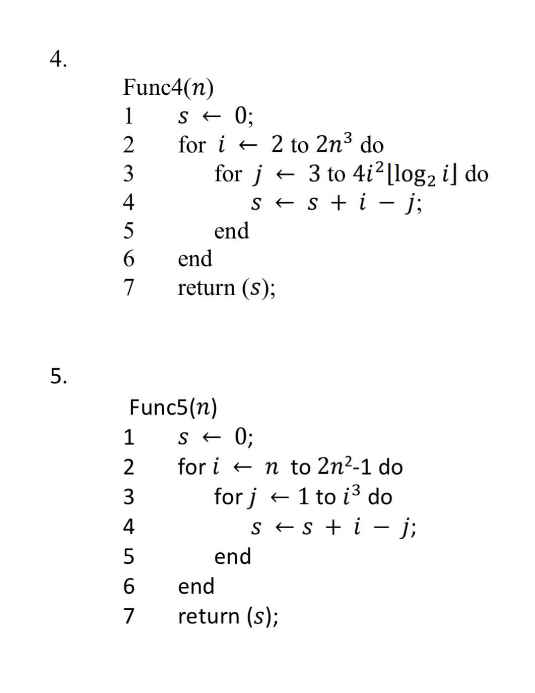
Question: Func 4 ( n ) slarr 0 ; for ilarr 2 to 2 n 3 do for jlarr 3 to 4 i 2 | ?
Funcn
slarr;
for ilarr to do
for jlarr to do
slarrs;
end
end
return ;
Func
slarr;
for ilarrn to do
for jlarr to do
slarrs;
end
end
return ;
Step by Step Solution
There are 3 Steps involved in it
1 Expert Approved Answer
Step: 1 Unlock
Question Has Been Solved by an Expert!
Get step-by-step solutions from verified subject matter experts
Step: 2 Unlock
Step: 3 Unlock
