Question: General Form Conics: Classify each conic and write in vertex/center form. Draw an accurate graph. Find the values of the important features of each graph
General Form Conics: Classify each conic and write in vertex/center form. Draw an accurate graph. Find the values of the important features of each graph (Circle: Center and Radius; Parabola: Vertex, Focus, Eqns for Axis of Symmetry and Directrix; Ellipse: Center, Foci, Length and Direction of Major and Minor Axis; Hyperbola: Center, Vertices). Write the coordinates of the vertices & center. This assignment must be done on GRAPH PAPER
1.


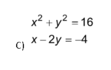
X-+ y= = 16 x - 2y = -4D y- -16x - 14y +17 = 0
Step by Step Solution
There are 3 Steps involved in it
Get step-by-step solutions from verified subject matter experts
