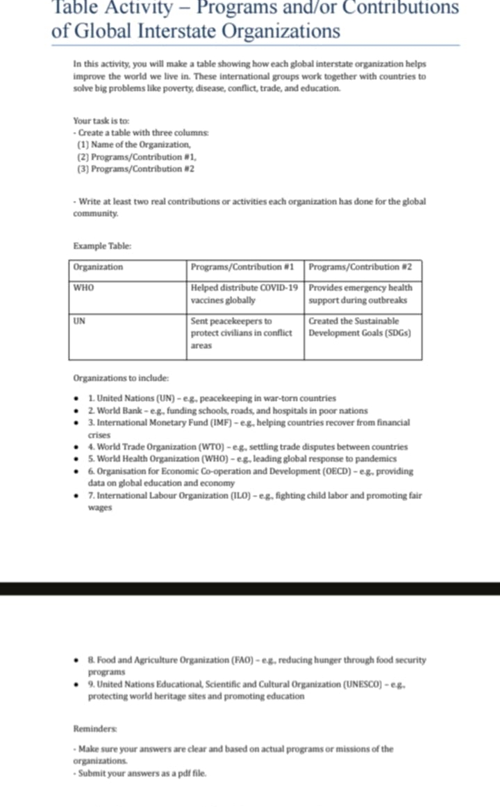
Question: Give me answer Table Activity - Programs and/or Contributions of Global Interstate Organizations In this activity, you will make a table showing how each global
Give me answer

Step by Step Solution
There are 3 Steps involved in it
1 Expert Approved Answer
Step: 1 Unlock
Question Has Been Solved by an Expert!
Get step-by-step solutions from verified subject matter experts
Step: 2 Unlock
Step: 3 Unlock
