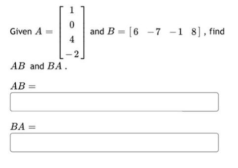
Question: Given A = AB and BA. AB = BA = 1 0 4 and B = [6 -7 -1 8], find

Given A = AB and BA. AB = BA = 1 0 4 and B = [6 -7 -1 8], find
Step by Step Solution
There are 3 Steps involved in it
AB 11 06 46 26 6 O 24 12 BA 1 O 4 2 C 4X1 7 O 28 14 6 6 7 18 17 11 18 07 ... View full answer
Get step-by-step solutions from verified subject matter experts
