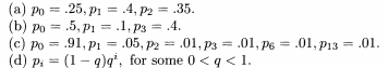
Question: Given a branching process with the following offspring distributions, determine the extinction probability a . (a) Po = 25, P1 = .4,p2 = .35. (b)
Given a branching process with the following offspring distributions, determine the extinction probability a .

Step by Step Solution
There are 3 Steps involved in it
1 Expert Approved Answer
Step: 1 Unlock
Question Has Been Solved by an Expert!
Get step-by-step solutions from verified subject matter experts
Step: 2 Unlock
Step: 3 Unlock
