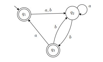
Question: Given a language L ? ? ? , we define Lhalf = { x | ?y ? ? ? , |y| = |x| such that
Given a language L ? ? ? , we define Lhalf = { x | ?y ? ? ? , |y| = |x| such that xy ? L }.
This is a DFA for L, please create a PDA for Lhalf.
Use the stack in the PDA to count up to half and pop elements after half.

91 a, 6 42 93
Step by Step Solution
There are 3 Steps involved in it
Get step-by-step solutions from verified subject matter experts
