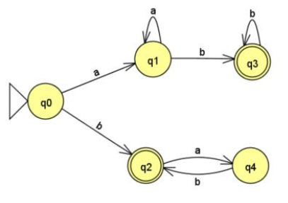
Question: Given an NFA M with the transition graph shown below. a)Give a regular expression r such that L(r) = L(M) b)Construct a regular grammar G
Given an NFA M with the transition graph shown below.

a)Give a regular expression r such that L(r) = L(M)
b)Construct a regular grammar G such that L(G) = L(M)
b 91 93 qo 92 94
Step by Step Solution
There are 3 Steps involved in it
Get step-by-step solutions from verified subject matter experts
