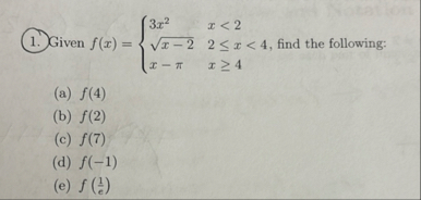
Question: Given f ( x ) = { 3 x 2 , x 2 x - 2 2 , 2 x 4 , f i n
Given
a
b
c
d
e
Step by Step Solution
There are 3 Steps involved in it
1 Expert Approved Answer
Step: 1 Unlock
Question Has Been Solved by an Expert!
Get step-by-step solutions from verified subject matter experts
Step: 2 Unlock
Step: 3 Unlock
