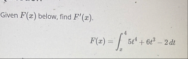
Question: Given F ( x ) below, find F ' ( x ) . F ( x ) = x 4 5 t 4 6 t
Given below, find
Step by Step Solution
There are 3 Steps involved in it
1 Expert Approved Answer
Step: 1 Unlock
Question Has Been Solved by an Expert!
Get step-by-step solutions from verified subject matter experts
Step: 2 Unlock
Step: 3 Unlock
