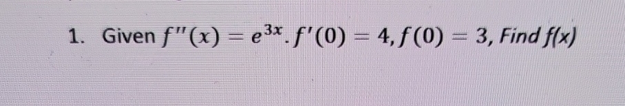
Question: Given f ' ' ( x ) = e 3 x . f ' ( 0 ) = 4 , f ( 0 ) =
Given Find
Step by Step Solution
There are 3 Steps involved in it
1 Expert Approved Answer
Step: 1 Unlock
Question Has Been Solved by an Expert!
Get step-by-step solutions from verified subject matter experts
Step: 2 Unlock
Step: 3 Unlock
