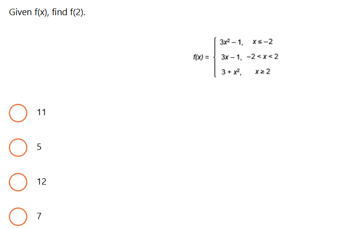
Question: Given f ( x ) , find f ( 2 ) . f ( x ) = { 3 x 2 - 1 , x
Given find
Step by Step Solution
There are 3 Steps involved in it
1 Expert Approved Answer
Step: 1 Unlock
Question Has Been Solved by an Expert!
Get step-by-step solutions from verified subject matter experts
Step: 2 Unlock
Step: 3 Unlock
