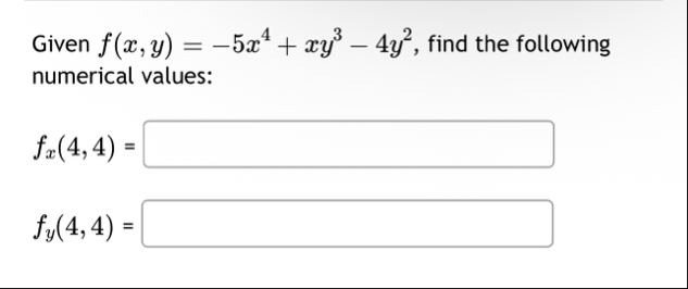
Question: Given f ( x , y ) = - 5 x 4 x y 3 - 4 y 2 , find the following numerical values:
Given find the following numerical values:
Step by Step Solution
There are 3 Steps involved in it
1 Expert Approved Answer
Step: 1 Unlock
Question Has Been Solved by an Expert!
Get step-by-step solutions from verified subject matter experts
Step: 2 Unlock
Step: 3 Unlock
