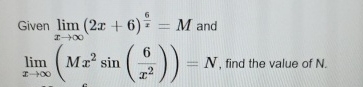
Question: Given lim x ( 2 x + 6 ) 6 x = M and lim x ( M x 2 s i n ( 6
Given and find the value of
Step by Step Solution
There are 3 Steps involved in it
1 Expert Approved Answer
Step: 1 Unlock
Question Has Been Solved by an Expert!
Get step-by-step solutions from verified subject matter experts
Step: 2 Unlock
Step: 3 Unlock
