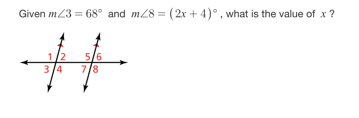
Question: Given m23 = 68 and m48 = (2x + 4) , what is the value of x ? 1 /2 5/6 3 14

Given m23 = 68 and m48 = (2x + 4) , what is the value of x ? 1 /2 5/6 3 14
Step by Step Solution
There are 3 Steps involved in it
1 Expert Approved Answer
Step: 1 Unlock
Question Has Been Solved by an Expert!
Get step-by-step solutions from verified subject matter experts
Step: 2 Unlock
Step: 3 Unlock
