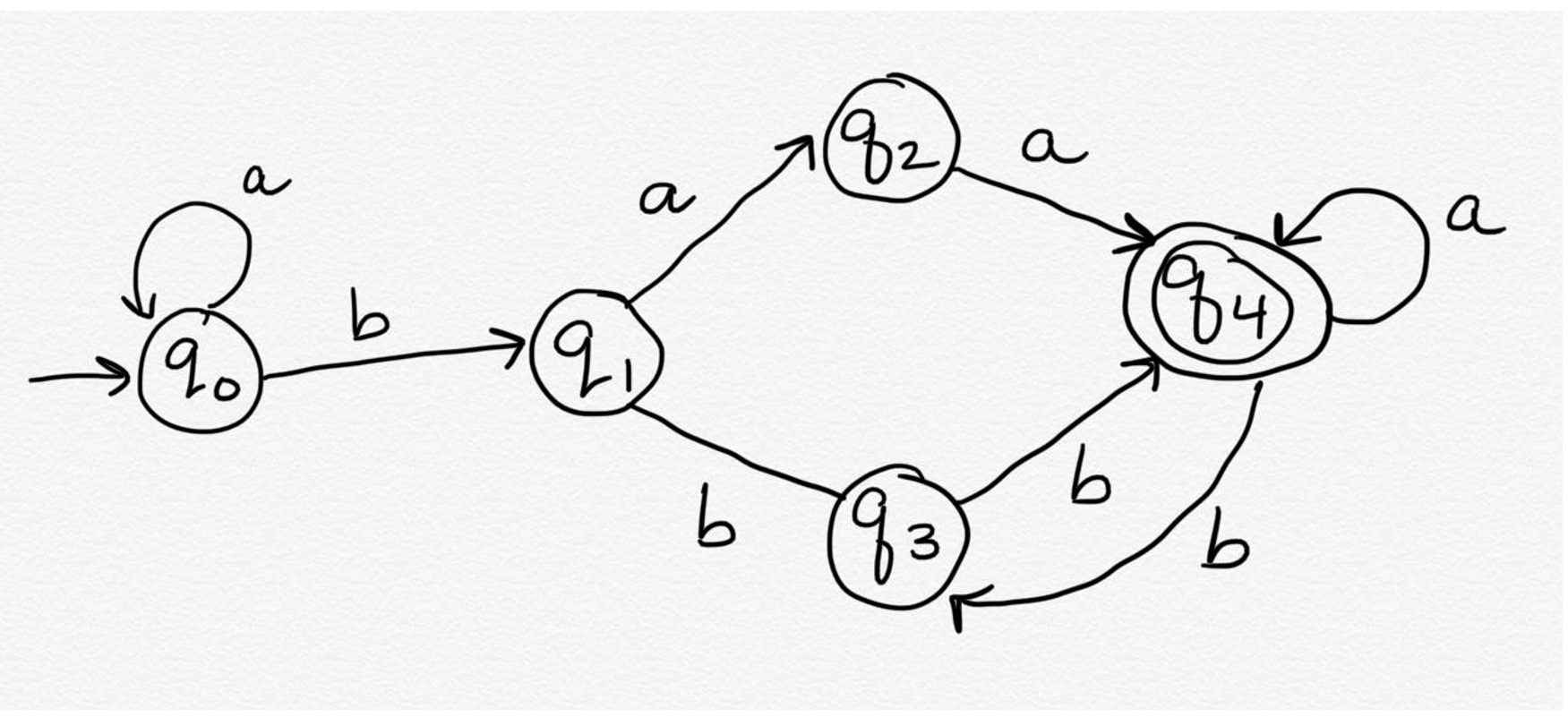
Question: Given that ={a,b} and using the appropriate notation, describe the language that will be accepted by the FA 82 a a a b 04 q.
Given that ={a,b}and using the appropriate notation, describe the language that will be accepted by the FA 
Step by Step Solution
There are 3 Steps involved in it
Get step-by-step solutions from verified subject matter experts
