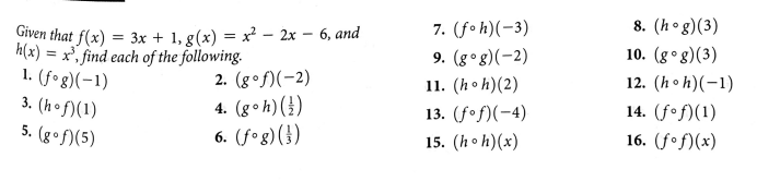
Question: Given that f(x) = 3x + 1, g(x) = x - 2x - 6, and 7. (fo h) (-3) 8. (hog) (3) h(x) = x,

Step by Step Solution
There are 3 Steps involved in it
1 Expert Approved Answer
Step: 1 Unlock
Question Has Been Solved by an Expert!
Get step-by-step solutions from verified subject matter experts
Step: 2 Unlock
Step: 3 Unlock
