Question: Given that: lim f(x) = 10 lim f(x) = 9 I + 8 lim g(x) = -7 lim g(x) = 0 T ; 8 I






















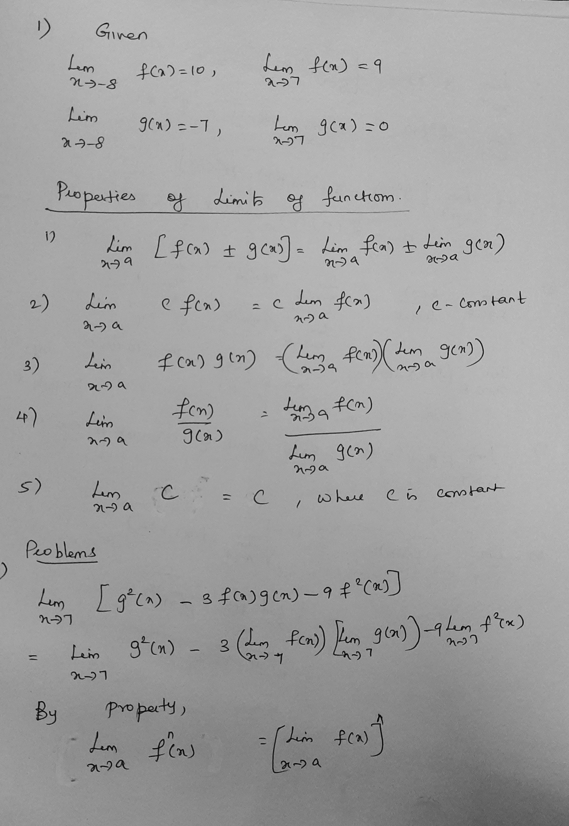
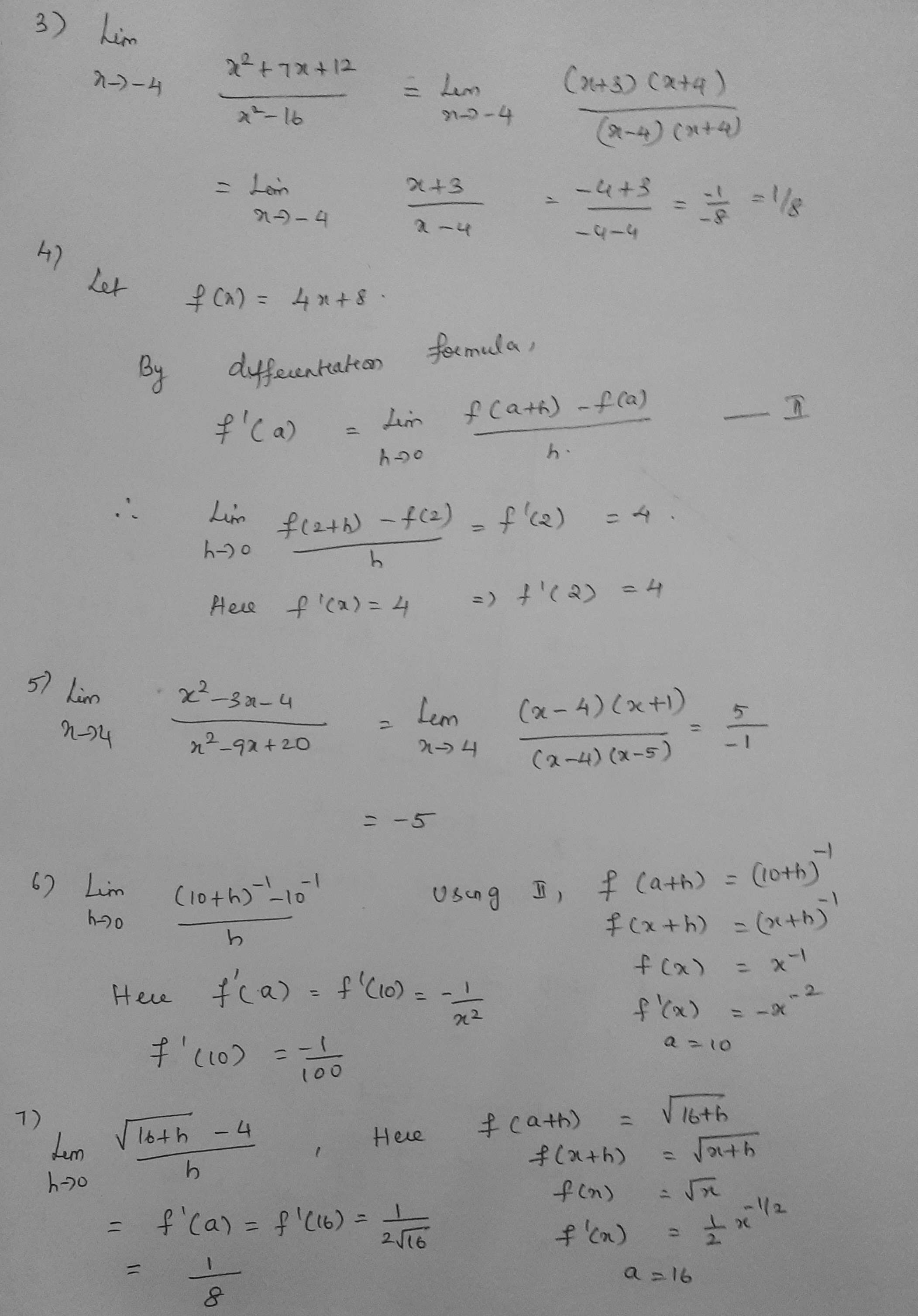
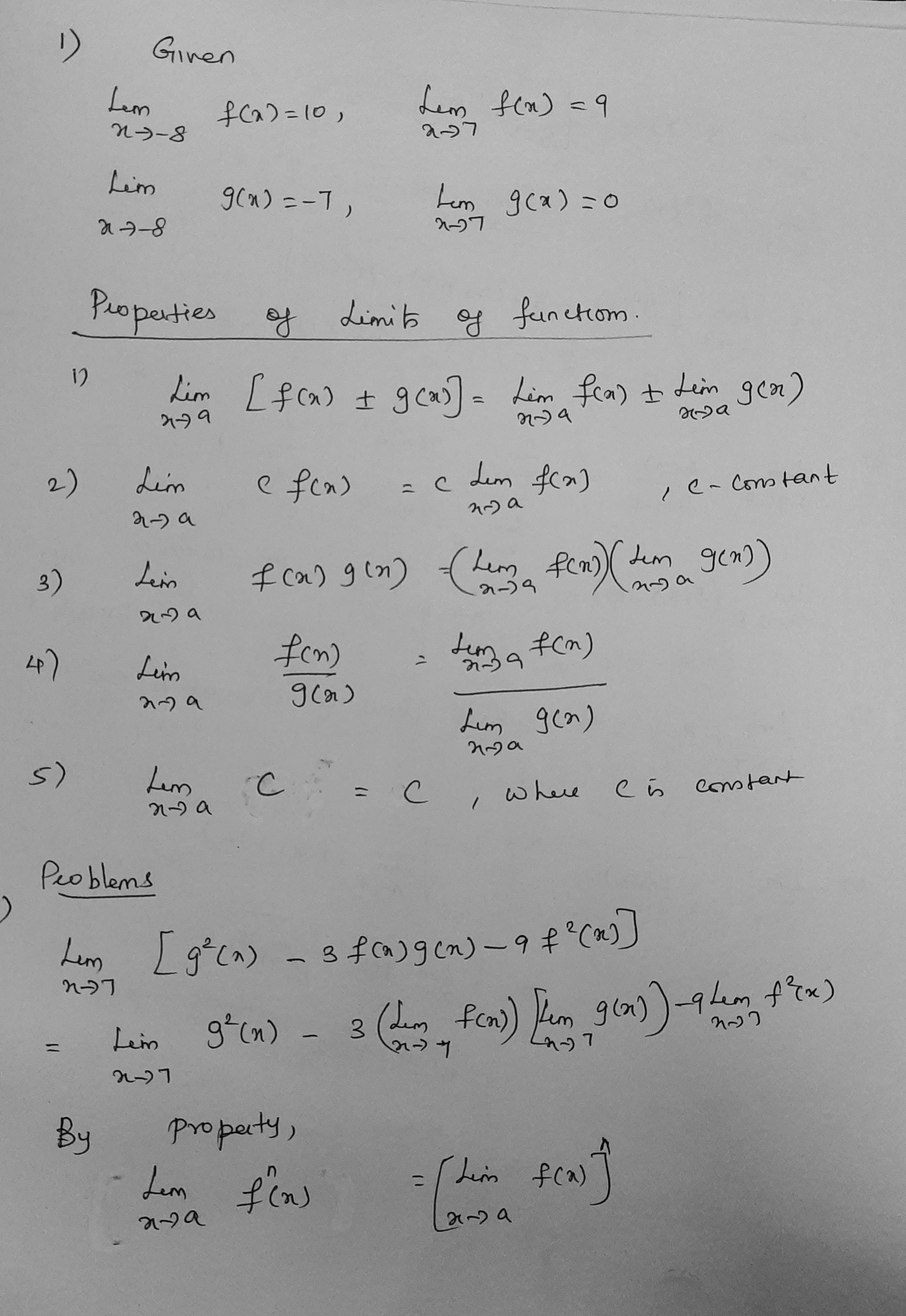
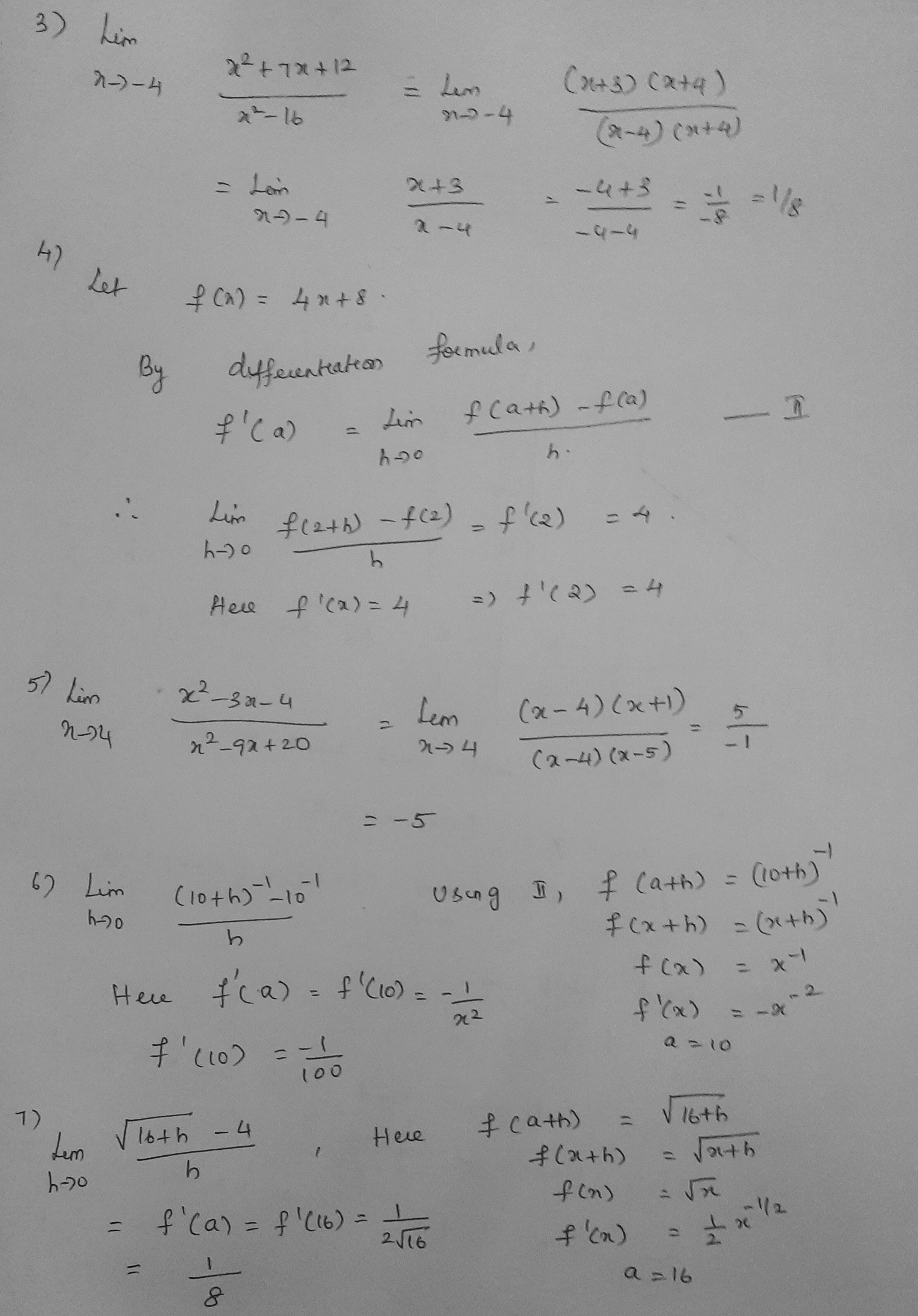
Given that: lim f(x) = 10 lim f(x) = 9 I + 8 lim g(x) = -7 lim g(x) = 0 T ; 8 I +7 Apply the properties of limits to solve the following problems: 1. lim (9 (x) - 3f(x)g(x) - 9f2(x)) = g(I) 2. lim f(x) - 10 3. lim (9) 4. lim f(x) + 12Let the function f be defined by: +2 ifs -5. Sketch the graph of this function and find the following limits, if they exist. (Use "DNE" for "Does not exist") 1. lim f()= 1 1 5 lim f(*)= 2. 7 5+ 3. lim f(x)= I-7 5Compute the indicated limit. Write your answer as a fractien, if necessary. 1i 3:2 + T: + 12 _-- :i: {'14 I2 15 |--| Evaluate lim f(2 + h) - f(2) h +0 h where f(x) = 4x + 8. If the limit does not exist enter DNE. Limit =Compute the indicated limit. Write your answer as a fractien, if necessary. 1' I: 3: 4 _|| 211334 I? as + an _._. Evaluate the limit, if it exists. If not, enter "n" below. H 10 + h 10 lim hEvaluate the limit, if it exists. If a limit does not exist, type "DNE". V16 + h - 4 lim h Limit:1 ) Given Lem f ( 2 ) = 10 , Lem f ( n ) = 9 n - - 8 2 27 Li'm 9 (x ) =-7, Lem 9 (x ) = 0 2 7- 8 2-27 Properties of of Limits of function. Lim [ f ca) + 9 (as] = Lim fca) + tim gca) 2 ) Li'm ( f cn ) = c dem of ( n) 1e- constant 2-7 a 2-2 a 3 ) Lein I ca) 9 ( m ) -( Lem fen) ) ( fem gen) ) 21 - 79 LP ) Lim f cn ) dear, f ( m) 9 ( a ) Lem g ca ) 21-2 a 5 ) Lem C 2 2 a = C, where Cis constant Problems Lem Lein 92 ( x) - 3 ( dem fco) ) Jem gla) ) - q lem flex ) 21-27 By property, LemLem = [dem g (x ] = = Lum stem flow] = 92= 81 0 - 3 ( 9 ) (0 ) - 9 ( 81 ) = -729 2 ) 9 (m ) Lem gcx) 29 - 8 = f(n) - 10 21- -8 - I Lem fen ) -10 Jem n - - 8 ( f (x)- 10 ) = fCA ) - 10 = 10-10=0 72 -8 by property 5 3 ) Lum 9 . = 9 , since limit of constant is constant. Lem fcolt 12 Lem ( * (x ) + 12 ) tem foo + Lem 12 21-27 9 + 12 = 12 1 By property, Lum Lim of ( " ) V fen ) = A a -aLet DL 2 2
Step by Step Solution
There are 3 Steps involved in it
Get step-by-step solutions from verified subject matter experts
