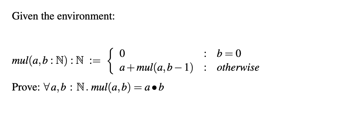
Question: Given the environment: l ( a , b : N ) : N : = { 0 , : b = 0 a + l
Given the environment:
:::
Prove: AAa,:
Step by Step Solution
There are 3 Steps involved in it
1 Expert Approved Answer
Step: 1 Unlock
Question Has Been Solved by an Expert!
Get step-by-step solutions from verified subject matter experts
Step: 2 Unlock
Step: 3 Unlock
