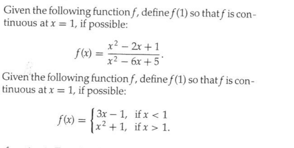
Question: Given the following function f , define f ( 1 ) so that f is continuous at x = 1 , if possible: f (
Given the following function define so that is continuous at if possible:
Given the following function define so that is continuous at if possible:
Step by Step Solution
There are 3 Steps involved in it
1 Expert Approved Answer
Step: 1 Unlock
Question Has Been Solved by an Expert!
Get step-by-step solutions from verified subject matter experts
Step: 2 Unlock
Step: 3 Unlock
