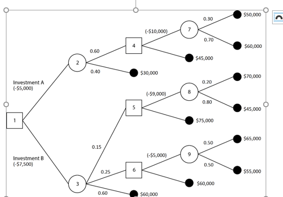
Question: Given the following sequential decision tree, determine which one is the optimal investment, A or B: (Please show all the steps in details) $50,000 0.30
Given the following sequential decision tree, determine which one is the optimal investment, A or B:
(Please show all the steps in details) 
Step by Step Solution
There are 3 Steps involved in it
Get step-by-step solutions from verified subject matter experts
