Question: Given the function: f (x) x 3x+2 3x3+18x2 +27 1. Find the zeroes of this function. 2. Find the vertical asymptotes of this function.

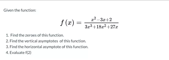
Given the function: f (x) x 3x+2 3x3+18x2 +27 1. Find the zeroes of this function. 2. Find the vertical asymptotes of this function. 3. Find the horizontal asymptote of this function. 4. Evaluate f(2)
Step by Step Solution
3.29 Rating (155 Votes )
There are 3 Steps involved in it
deno minat d 3x318X 27 3 Cx6x9 at abtzab E 3x x 23 x 32 den... View full answer
Get step-by-step solutions from verified subject matter experts
