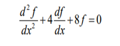
Question: given the function , f (x) = + cos(2x)] ,
![f (x) = + cos(2x)] ,](https://s3.amazonaws.com/si.experts.images/answers/2024/06/6668134555c00_7096668134543ed5.jpg)

given the function ,


f (x) = + cos(2x)] ,
Step by Step Solution
There are 3 Steps involved in it
Get step-by-step solutions from verified subject matter experts
