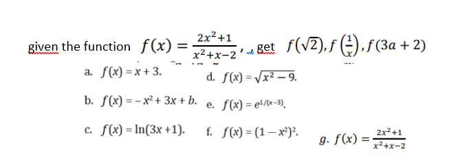
Question: given the function f(x) = 2x-+1 x2+x-2 ' = Bet f( v2), f = , f (3a + 2) a. f(x) = x+3. d. f

Step by Step Solution
There are 3 Steps involved in it
1 Expert Approved Answer
Step: 1 Unlock
Question Has Been Solved by an Expert!
Get step-by-step solutions from verified subject matter experts
Step: 2 Unlock
Step: 3 Unlock
