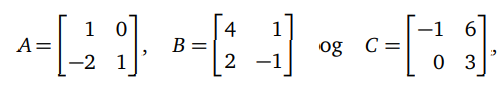
Question: given the matrices: fa) A3 b) 3A + 2B C) (AC) d) CTAT
given the matrices:


\fa) A3 b) 3A + 2B C) (AC) d) CTAT
Step by Step Solution
There are 3 Steps involved in it
1 Expert Approved Answer
Step: 1 Unlock
Question Has Been Solved by an Expert!
Get step-by-step solutions from verified subject matter experts
Step: 2 Unlock
Step: 3 Unlock
