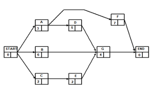
Question: Given the network below, perform forward pass calculations. Determine Project Duration. ta START END 0
Given the network below, perform forward pass calculations.
Determine Project Duration.

Step by Step Solution
There are 3 Steps involved in it
Get step-by-step solutions from verified subject matter experts
