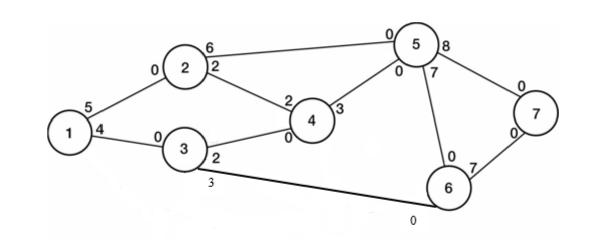
Question: Given the network diagram with the indicated flow capacities along each branch, determine the maximal flow from source node 1 to destination node 7. A

Given the network diagram with the indicated flow capacities along each branch, determine the maximal flow from source node 1 to destination node 7. A branch has been added connecting nodes 3 and 6.
5 2 3 0Step by Step Solution
There are 3 Steps involved in it
Get step-by-step solutions from verified subject matter experts
