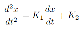
Question: Given the time and velocity matrices below, solve for the K 1 and K 2 coefficients in the equaition. This is using advanced engineering analysis.
Given the time and velocity matrices below, solve for the Kand Kcoefficients in the equaition. This is using advanced engineering analysis. I think the best way to solve this is to use odeor rksysand fsolve at the same time. Use MatLab to complete this and upload your answer as a MatLab code type the code out
The data is from a bobled competition and given is teams each doing races. It is only the first meters of the race. So the data is as follows:
Team A and Race
so:
t A A A A
B B B B
C C C C
D D D D;
The same goes for the velocity matrix.
The time is the time it takes each team to complete meters, and the velocity at that time.
So the span would be
t
;
v
;
Step by Step Solution
There are 3 Steps involved in it
1 Expert Approved Answer
Step: 1 Unlock
Question Has Been Solved by an Expert!
Get step-by-step solutions from verified subject matter experts
Step: 2 Unlock
Step: 3 Unlock
