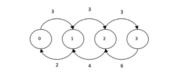
Question: Given the transition diagram below of a two server queuing system, determine (a) the fraction of time both servers is busy. (b) the expected number
Given the transition diagram below of a two server queuing system, determine
(a) the fraction of time both servers is busy.
(b) the expected number of customers in the queue.
(c) the expected number of customers getting serviced (not including those in queue). (d) the expected waiting time in system.
Step by Step Solution
There are 3 Steps involved in it
1 Expert Approved Answer
Step: 1 Unlock
Question Has Been Solved by an Expert!
Get step-by-step solutions from verified subject matter experts
Step: 2 Unlock
Step: 3 Unlock
