Question: Given the vectors a = [1, 0, -1] and b = [2, 1, 1]. Determine the following: the angle between vectors a+b and a-b Answer
![Given the vectors a = [1, 0, -1] and b =](https://s3.amazonaws.com/si.experts.images/answers/2024/06/66669d4af4057_97066669d4ad62f2.jpg)
Given the vectors a = [1, 0, -1] and b = [2, 1, 1]. Determine the following: the angle between vectors a+b and a-b
![[2, 1, 1]. Determine the following: the angle between vectors a+b and](https://s3.amazonaws.com/si.experts.images/answers/2024/06/66669d4b69d21_97166669d4b4f79c.jpg)
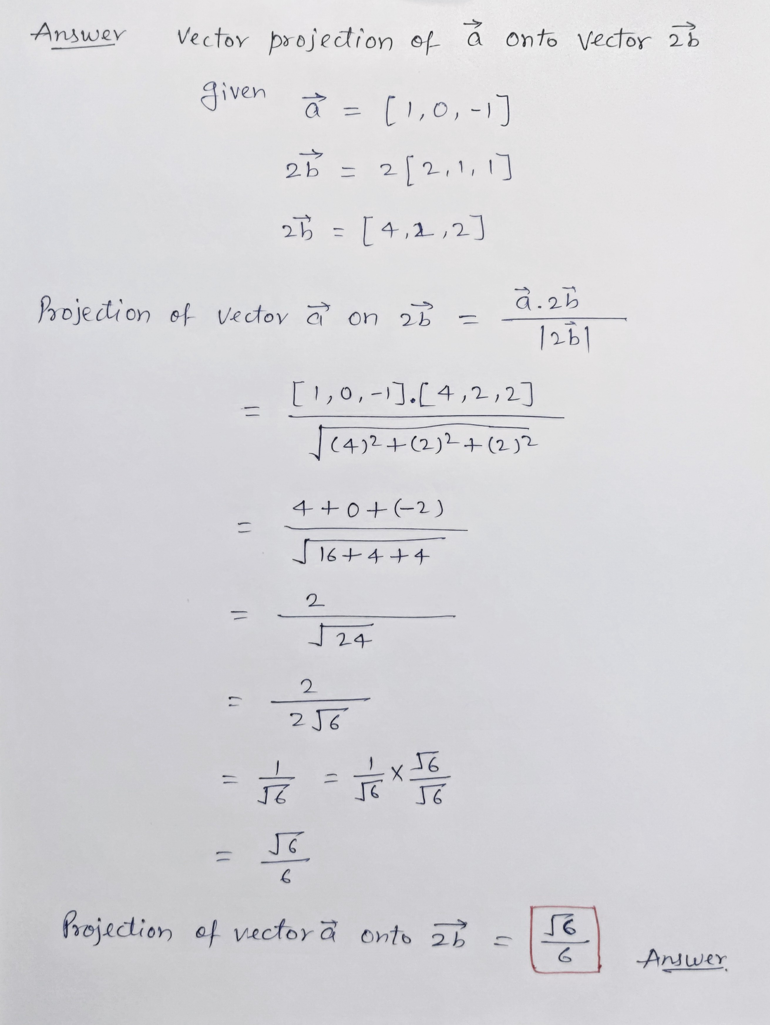
Answer Vector projection of a onto vector 2b given a = [ 1, 0 , - 1] 2b = 2 [ 2 , 1 , 1] 2b = [ 4, 2 , 2] Projection of vector a on 2b = a. 2b 1261 = [ 1 , 0 , - 1] . [ 4 , 2 , 2] 1 ( 4 1 2 + ( 2 ) 2 + ( 2 ) 2 4 + 0+ ( - 2 ) 16+4+ 4 2 = J 24 2 2 J6 = T6 = X x 56 56 = JG 6 Projection of vector a onto 2b = 56 6
Step by Step Solution
There are 3 Steps involved in it
Get step-by-step solutions from verified subject matter experts
