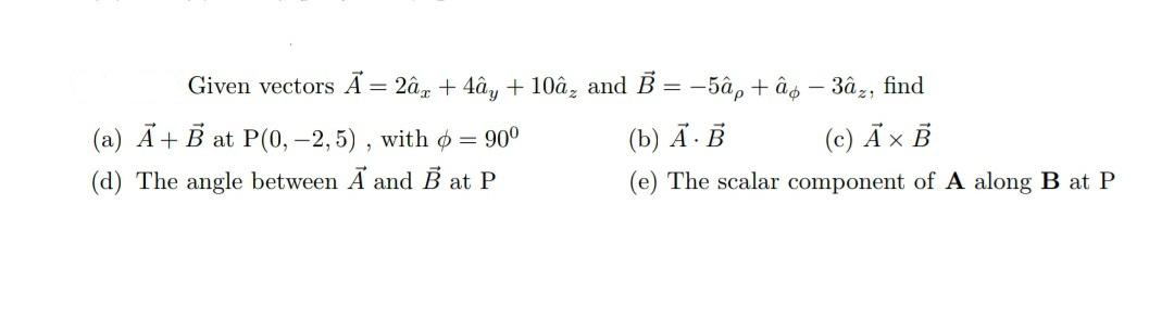
Question: Given vectors = 2 + 4, + 10, and B = -5, + o find () + at P(0, 2,5) , with %3D 90

Given vectors = 2 + 4, + 10, and B = -5, + o find () + at P(0, 2,5) , with %3D 90 (b) . (c) x B (d) The angle between A and B at P (e) The scalar component of A along B at P
Step by Step Solution
3.38 Rating (154 Votes )
There are 3 Steps involved in it
Given 2ax 4Qy 10 z s p o 3z a 32 025 90 Lete first convert ... View full answer
Get step-by-step solutions from verified subject matter experts
