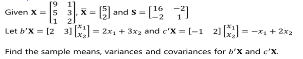
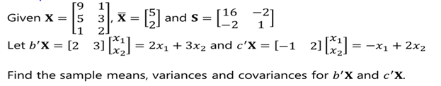
Question: Given X = 5 3 x = [$] and s = [12 7] 1 2 Let b'X = [2 3] 31 [x, ] = 2x1
![Given X = 5 3 x = [$] and s =](https://s3.amazonaws.com/si.experts.images/answers/2024/06/667534ae72170_230667534ae5a435.jpg)
![[12 7] 1 2 Let b'X = [2 3] 31 [x, ]](https://s3.amazonaws.com/si.experts.images/answers/2024/06/667534aec26cd_230667534aeb2d11.jpg)
Given X = 5 3 x = [$] and s = [12 7] 1 2 Let b'X = [2 3] 31 [x, ] = 2x1 + 3x2 and c'X = [-1 2] [x}] = -x1 + 2: Find the sample means, variances and covariances for b'X and c'X
Step by Step Solution
There are 3 Steps involved in it
Get step-by-step solutions from verified subject matter experts
