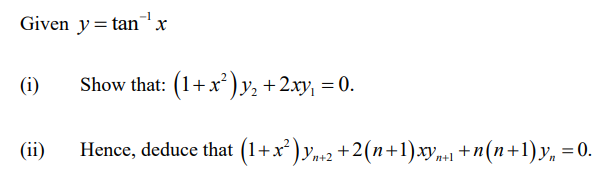
Question: Given y = t a n - 1 x ( i ) Show that: ( 1 + x 2 ) y 2 + 2 x
Given
Show that:
Hence, deduce that
Step by Step Solution
There are 3 Steps involved in it
1 Expert Approved Answer
Step: 1 Unlock
Question Has Been Solved by an Expert!
Get step-by-step solutions from verified subject matter experts
Step: 2 Unlock
Step: 3 Unlock
