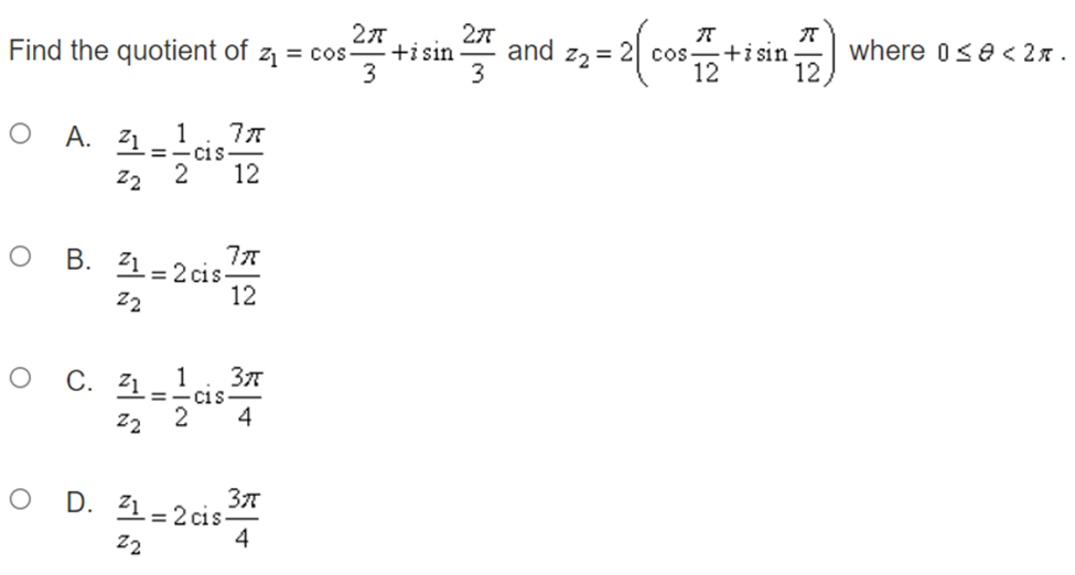
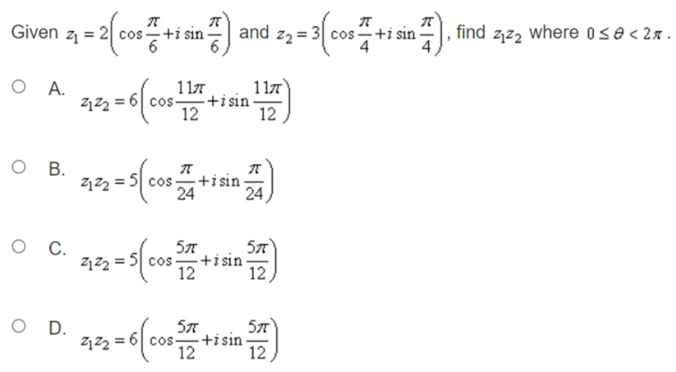
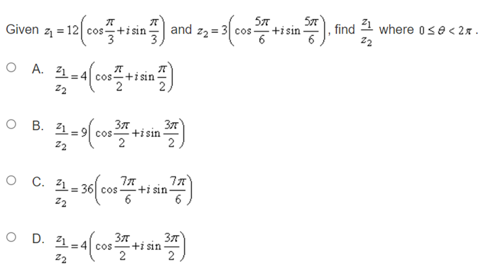
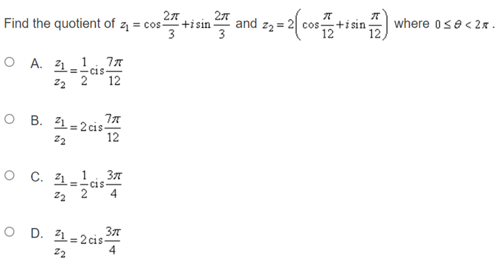
Question: Given z1 = 2 cos - +i sin and z2 = 3 cos - +i sin find z z2 where ISa








Given z1 = 2 cos - +i sin and z2 = 3 cos - +i sin find z z2 where ISa
Step by Step Solution
There are 3 Steps involved in it
1 Expert Approved Answer
Step: 1 Unlock
Question Has Been Solved by an Expert!
Get step-by-step solutions from verified subject matter experts
Step: 2 Unlock
Step: 3 Unlock
