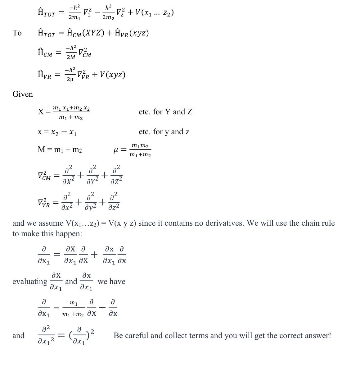
Question: Go from: hat ( H ) T O T = - 2 2 m 1 g r a d 1 2 - 2 2 m
Go from: hat
To
hathathat
hat
hat
Given
etc. for and
etc. for and
and we assume since it contains no derivatives. We will use the chain rule to make this happen:
evaluating and we have
and Be careful and collect terms and you will get the correct answer!
Step by Step Solution
There are 3 Steps involved in it
1 Expert Approved Answer
Step: 1 Unlock
Question Has Been Solved by an Expert!
Get step-by-step solutions from verified subject matter experts
Step: 2 Unlock
Step: 3 Unlock
