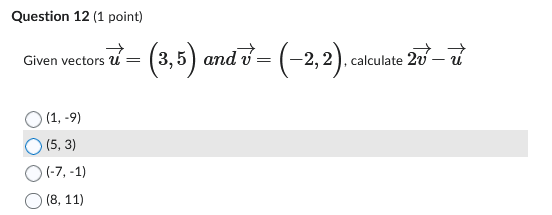
Question: Grade 12 calculus. Multiple choice. Please include rough notes (doesn't have to be fully complete). Answer ASAP Question 12 (1 point) Given vectors u =


Grade 12 calculus. Multiple choice. Please include rough notes (doesn't have to be fully complete). Answer ASAP


Question 12 (1 point) Given vectors u = (3,5) and v- (-2, 2) , calculate 27 (1, -9) (5, 3) O (-7, -1) (8, 11)The unit vector of the given vector U = 2i - 4j + 4kis: O (-313 2 - O (1, - 2, 2) O (-1, 2, -2) Question 14 (1 point) The magnitude of vector v = (-12, 8 ) is: O 8.94 14.42 O 13 O B Question 15 (1 point) The magnitude of vector AB between points A(0, -8, -7) and B(9, -2, -5) is: O 12 10 O 13 O 11 Question 16 (1 point) The first derivative of the function fac] = 4 VI14 is: 2 VII4 O 2 O -2 VIJ4 O -2
Step by Step Solution
There are 3 Steps involved in it
Get step-by-step solutions from verified subject matter experts
