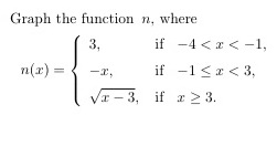
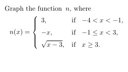
Question: Graph the function n, where if -4 Graph the function where if if if x 23.


Graph the function n, where if -4
Graph the function where if if if x 23.
Step by Step Solution
There are 3 Steps involved in it
Get step-by-step solutions from verified subject matter experts
