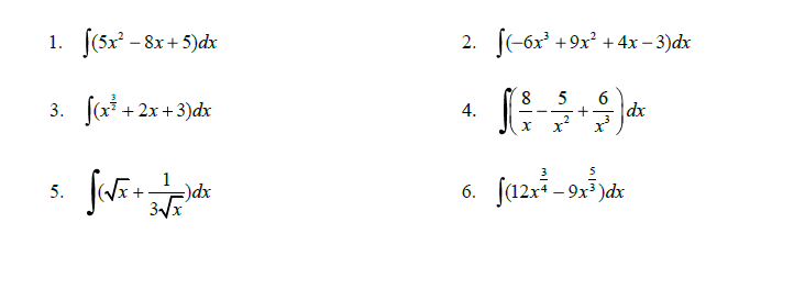
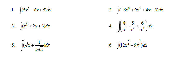
Question: GUYS I NEED ANSWER IN THIS QUESTION PLEASE (5x2 8x + 5)dx 3. 5. f(x + 2x 3 3)dx )dx x 2. 4. 6. fc6x3

GUYS I NEED ANSWER IN THIS QUESTION PLEASE

(5x2 8x + 5)dx 3. 5. f(x + 2x 3 3)dx )dx x 2. 4. 6. fc6x3 +9x2 + 4x 3)dx + dx (12x4 9x3)dx
Step by Step Solution
There are 3 Steps involved in it
Get step-by-step solutions from verified subject matter experts
